| Oracle® Database SQL Reference 10g Release 2 (10.2) Part Number B14200-02 |
|
|
View PDF |
Purpose
Use the CREATE TABLE statement to create one of the following types of tables:
A relational table, which is the basic structure to hold user data.
An object table, which is a table that uses an object type for a column definition. An object table is explicitly defined to hold object instances of a particular type.
You can also create an object type and then use it in a column when creating a relational table.
Tables are created with no data unless a subquery is specified. You can add rows to a table with the INSERT statement. After creating a table, you can define additional columns, partitions, and integrity constraints with the ADD clause of the ALTER TABLE statement. You can change the definition of an existing column or partition with the MODIFY clause of the ALTER TABLE statement.
See Also:
Oracle Database Application Developer's Guide - Fundamentals, Oracle Database Administrator's Guide, and CREATE TYPE for more information about creating objects
ALTER TABLE and DROP TABLE for information on modifying and dropping tables
Additional Topics
Prerequisites
To create a relational table in your own schema, you must have the CREATE TABLE system privilege. To create a table in another user's schema, you must have the CREATE ANY TABLE system privilege. Also, the owner of the schema to contain the table must have either space quota on the tablespace to contain the table or the UNLIMITED TABLESPACE system privilege.
In addition to these table privileges, to create an object table or a relational table with an object type column, the owner of the table must have the EXECUTE object privilege in order to access all types referenced by the table, or you must have the EXECUTE ANY TYPE system privilege. These privileges must be granted explicitly and not acquired through a role.
Additionally, if the table owner intends to grant access to the table to other users, then the owner must have been granted the EXECUTE object privilege on the referenced types WITH GRANT OPTION, or have the EXECUTE ANY TYPE system privilege WITH ADMIN OPTION. Without these privileges, the table owner has insufficient privileges to grant access to the table to other users.
To enable a unique or primary key constraint, you must have the privileges necessary to create an index on the table. You need these privileges because Oracle Database creates an index on the columns of the unique or primary key in the schema containing the table.
To create an external table, you must have the required read and write operating system privileges on the appropriate operating system directories. You must have the READ object privilege on the database directory object corresponding to the operating system directory in which the external data resides. You must also have the WRITE object privilege on the database directory in which the files will reside if you specify a log file or bad file in the opaque_format_spec or if you unload data into an external table from a database table by specifying the AS subquery clause.
See Also:
Oracle Database Application Developer's Guide - Fundamentals for more information about the privileges required to create tables using types
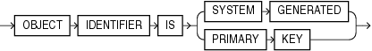
Syntax
create_table::=

(relational_table::=, object_table ::=, XMLType_table ::=)

Note:
Each of the clauses following the table name is optional for any given relational table. However, for every table you must at least specify either column names and datatypes using therelational_properties clause or an AS subquery clause using the table_properties clause.(relational_properties::=, physical_properties::=, table_properties::=)
object_table ::=

(object_table_substitution ::=, object_properties::=, oid_clause::=, oid_index_clause::=, physical_properties::=, table_properties::=)
XMLType_table ::=

(XMLType_storage::=, XMLSchema_spec::=, oid_clause::=, oid_index_clause::=, physical_properties::=, table_properties::=)

(column_definition::=, constraint::=, supplemental_logging_props ::=)
column_definition::=

(encryption_spec::=, constraint::=)
encryption_spec::=


(constraint::=, supplemental_logging_props ::=)
oid_clause::=


(physical_attributes_clause::=)

(segment_attributes_clause ::=, table_compression::=, index_org_table_clause ::=, external_table_clause ::=)

(physical_attributes_clause::=, logging_clause::=)



(column_properties::=, table_partitioning_clauses ::=, parallel_clause ::=, enable_disable_clause ::=, row_movement_clause ::=, subquery::=)

(object_type_col_properties::=, nested_table_col_properties ::=, varray_col_properties ::=, LOB_storage_clause::=, LOB_partition_storage::=, XMLType_column_properties ::=)
substitutable_column_clause::=

nested_table_col_properties ::=

(substitutable_column_clause::=, object_properties::=, physical_properties::=, column_properties::=)

(substitutable_column_clause::=, LOB_parameters ::=)

LOB_parameters ::=

logging_clause::=

LOB_partition_storage::=

(LOB_storage_clause::=, varray_col_properties ::=)
(XMLType_storage::=, XMLSchema_spec::=)
XMLType_storage::=

XMLSchema_spec::=



(mapping_table_clauses::=, key_compression ::=, index_org_overflow_clause ::=)

key_compression ::=

(segment_attributes_clause ::=)
supplemental_logging_props ::=

supplemental_log_grp_clause::=

supplemental_id_key_clause::=


external_data_properties::=

(opaque_format_spec: See Oracle Database Utilities for information on how to specify values for the opaque_format_spec.)
table_partitioning_clauses ::=

(range_partitioning::=, hash_partitioning ::=, list_partitioning ::=, composite_partitioning ::=)

(range_values_clause::=, table_partition_description::=)

(individual_hash_partitions::=, hash_partitions_by_quantity::=)

(list_values_clause::=, table_partition_description::=)

(subpartition_by_list::=, subpartition_by_hash::=, range_values_clause::=, table_partition_description::=)

individual_hash_partitions::=

(partitioning_storage_clause::=)
hash_partitions_by_quantity::=

subpartition_by_list::=

(list_values_clause::=, partitioning_storage_clause::=)
range_values_clause::=

list_values_clause::=

table_partition_description::=

(segment_attributes_clause ::=, table_compression::=, LOB_storage_clause::=, varray_col_properties ::=, partition_level_subpartition::=)
partition_level_subpartition::=

subpartition_spec::=
(list_values_clause::=, partitioning_storage_clause::=)
partitioning_storage_clause::=

parallel_clause ::=


(using_index_clause ::=, exceptions_clause not supported in CREATE TABLE statements)

(create_index::=, index_properties::=)
index_properties::=

(global_partitioned_index ::=, local_partitioned_index ::=--part of CREATE INDEX, index_attributes::=, domain_index_clause: not supported in using_index_clause)
index_attributes::=

(physical_attributes_clause::=, logging_clause::=, key_compression ::=, parallel_clause: not supported in using_index_clause)
Semantics
Specify GLOBAL TEMPORARY to indicate that the table is temporary and that its definition is visible to all sessions with appropriate privileges. The data in a temporary table is visible only to the session that inserts the data into the table.
When you first create a temporary table, its table metadata is stored in the data dictionary, but no space is allocated for table data. Space is allocated for the table segment at the time of the first DML operation on the table. The temporary table definition persists in the same way as the definitions of regular tables, but the table segment and any data the table contains are either session-specific or transaction-specific data. You specify whether the table segment and data are session- or transaction-specific with the ON COMMIT keywords.
You can perform DDL operations (such as ALTER TABLE, DROP TABLE, CREATE INDEX) on a temporary table only when no session is bound to it. A session becomes bound to a temporary table by performing an INSERT operation on the table. A session becomes unbound to the temporary table by issuing a TRUNCATE statement or at session termination, or, for a transaction-specific temporary table, by issuing a COMMIT or ROLLBACK statement.
See Also:
Oracle Database Concepts for information on temporary tables and "Temporary Table Example"Restrictions on Temporary Tables Temporary tables are subject to the following restrictions:
Temporary tables cannot be partitioned, clustered, or index organized.
You cannot specify any foreign key constraints on temporary tables.
Temporary tables cannot contain columns of nested table.
You cannot specify the following clauses of the LOB_storage_clause: TABLESPACE, storage_clause, or logging_clause.
Parallel DML and parallel queries are not supported for temporary tables. Parallel hints are ignored. Specification of the parallel_clause returns an error.
You cannot specify the segment_attributes_clause, nested_table_col_properties, or parallel_clause.
Distributed transactions are not supported for temporary tables.
schema
Specify the schema to contain the table. If you omit schema, then the database creates the table in your own schema.
table
Specify the name of the table or object table to be created.
See Also:
"General Examples"relational_properties
The relational properties describe the components of a relational table.
column_definition
The column_definition lets you define the characteristics of the column.
Specify the name of a column of the table.
If you also specify AS subquery, then you can omit column and datatype unless you are creating an index-organized table. If you specify AS subquery when creating an index-organized table, then you must specify column, and you must omit datatype.
The absolute maximum number of columns in a table is 1000. However, when you create an object table or a relational table with columns of object, nested table, varray, or REF type, Oracle Database maps the columns of the user-defined types to relational columns, in effect creating hidden columns that count toward the 1000-column limit.
datatype
Specify the datatype of a column.
Notes on Table Column Datatypes The following notes apply to the datatypes of table columns:
If you specify AS subquery, then you can omit datatype. If you are creating an index-organized table and you specify AS subquery, then you must omit the datatype.
You can also omit datatype if the statement designates the column as part of a foreign key in a referential integrity constraint. Oracle Database automatically assigns to the column the datatype of the corresponding column of the referenced key of the referential integrity constraint.
Do not create a table with LONG columns. Use LOB columns (CLOB, NCLOB, BLOB) instead. LONG columns are supported only for backward compatibility.
Restriction on Table Column Datatypes You can specify a column of type ROWID, but Oracle Database does not guarantee that the values in such columns are valid rowids.
The SORT keyword is valid only if you are creating this table as part of a hash cluster and only for columns that are also cluster columns.
This clause instructs the database to sort the rows of the cluster on this column before applying the hash function. Doing so may improve response time during subsequent operations on the clustered data.
See Also:
"CLUSTER Clause" for information on creating a cluster tableThe DEFAULT clause lets you specify a value to be assigned to the column if a subsequent INSERT statement omits a value for the column. The datatype of the expression must match the datatype of the column. The column must also be long enough to hold this expression.
The DEFAULT expression can include any SQL function as long as the function does not return a literal argument, a column reference, or a nested function invocation.
Restriction on Default Column Values A DEFAULT expression cannot contain references to PL/SQL functions or to other columns, the pseudocolumns CURRVAL, NEXTVAL, LEVEL, PRIOR, and ROWNUM, or date constants that are not fully specified.
The ENCRYPT clause lets you use the transparent data encryption feature to encrypt the column you are defining. You can encrypt columns of type CHAR, NCHAR, VARCHAR2, NVARCHAR2, NUMBER, DATE, and RAW. The data does not appear in its encrypted form to authorized users, such as the user who encrypts the column.
Note:
Column encryption requires that a system administrator with appropriate privileges has initialized the security module, opened a wallet, and set an encryption key. Please refer to Oracle Advanced Security Administrator's Guide for general information on encryption and to alter_system_security_clauses for relatedALTER SYSTEM statements.USING 'encrypt_algorithm' Use this clause to specify the name of the algorithm to be used. Valid algorithms are 3DES168, AES128, AES192, and AES256. If you omit this clause, the database uses AES192. If you encrypt more than one column in the same table, and if you specify the USING clause for one of the columns, you must specify the same encryption algorithm for all the encrypted columns.
IDENTIFIED BY password If you specify this clause, the database derives the column key from the specified password.
SALT | NO SALT By default the database appends a random string, called "salt", to the clear text of the column before encrypting it. If you want to use the column as an index key, you must specify NO SALT. Please refer to Oracle Advanced Security Administrator's Guide for a description of "salt" in this context.
Restrictions on the ENCRYPT clause: The following restrictions apply to column encryption:
To encrypt a column in an external table, the table must use ORACLE_DATAPUMP as its access type.
You cannot encrypt a column in tables owned by SYS.
You cannot encrypt a foreign key column.
See Also:
Oracle Advanced Security Administrator's Guide for more information about transparent data encryptionConstraint Clauses
Use these clauses to create constraints on the table columns. You must specify a PRIMARY KEY constraint for an index-organized table, and it cannot be DEFERRABLE. Please refer to constraint for syntax and description of these constraints as well as examples.
inline_ref_constraint and out_of_line_ref_constraint These clauses let you describe a column of type REF. The only difference between these clauses is that you specify out_of_line_ref_constraint from the table level, so you must identify the REF column or attribute you are defining. Specify inline_ref_constraint as part of the definition of the REF column or attribute.
See Also:
"REF Constraint Examples"inline_constraint Use the inline_constraint to define an integrity constraint as part of the column definition.
You can create UNIQUE, PRIMARY KEY, and REFERENCES constraints on scalar attributes of object type columns. You can also create NOT NULL constraints on object type columns and CHECK constraints that reference object type columns or any attribute of an object type column.
out_of_line_constraint Use the out_of_line_constraint syntax to define an integrity constraint as part of the table definition.
The supplemental_logging_props clause lets you instruct the database to put additional data into the log stream to support log-based tools.
supplemental_log_grp_clause Use this clause to create a named log group.
The NO LOG clause lets you omit from the redo log one or more columns that would otherwise be included in the redo for the named log group. You must specify at least one fixed-length column without NO LOG in the named log group.
If you specify ALWAYS, then during an update, the database includes in the redo all columns in the log group. This is called an unconditional log group (sometimes called an "always log group"), because Oracle Database supplementally logs all the columns in the log group when the associated row is modified. If you omit ALWAYS, then the database supplementally logs all the columns in the log group only if any column in the log group is modified. This is called a conditional log group.
You can query the appropriate USER_, ALL_, or DBA_LOG_GROUP_COLUMNS data dictionary view to determine whether any supplemental logging has already been specified.
supplemental_id_key_clause Use this clause to specify that all or a combination of the primary key, unique key, and foreign key columns should be supplementally logged. Oracle Database will generate either an unconditional log group or a conditional log group. With an unconditional log group, the database supplementally logs all the columns in the log group when the associated row is modified. With a conditional log group, the database supplementally logs all the columns in the log group only if any column in the log group is modified.
If you specify ALL COLUMNS, then the database includes in the redo log all the fixed-length maximum size columns of that row. Such a redo log is a system-generated unconditional log group.
If you specify PRIMARY KEY COLUMNS, then for all tables with a primary key, the database places into the redo log all columns of the primary key whenever an update is performed. Oracle Database evaluates which columns to supplementally log as follows:
First the database chooses columns of the primary key constraint, if the constraint is validated or marked RELY and is not marked as DISABLED or INITIALLY DEFERRED.
If no primary key columns exist, then the database looks for the smallest UNIQUE index with at least one NOT NULL column and uses the columns in that index.
If no such index exists, then the database supplementally logs all scalar columns of the table.
If you specify UNIQUE COLUMNS, then for all tables with a unique key or a bitmap index, if any of the unique key or bitmap index columns are modified, the database places into the redo log all other columns belonging to the unique key or bitmap index. Such a log group is a system-generated conditional log group.
If you specify FOREIGN KEY COLUMNS, then for all tables with a foreign key, if any foreign key columns are modified, the database places into the redo log all other columns belonging to the foreign key. Such a redo log is a system-generated conditional log group.
If you specify this clause multiple times, then the database creates a separate log group for each specification. You can query the appropriate USER_, ALL_, or DBA_LOG_GROUPS data dictionary view to determine whether any supplemental logging data has already been specified.
The ON COMMIT clause is relevant only if you are creating a temporary table. This clause specifies whether the data in the temporary table persists for the duration of a transaction or a session.
DELETE ROWS Specify DELETE ROWS for a transaction-specific temporary table. This is the default. Oracle Database will truncate the table (delete all its rows) after each commit.
PRESERVE ROWS Specify PRESERVE ROWS for a session-specific temporary table. Oracle Database will truncate the table (delete all its rows) when you terminate the session.
physical_properties
The physical properties relate to the treatment of extents and segments and to the storage characteristics of the table.
The segment_attributes_clause lets you specify physical attributes and tablespace storage for the table.
physical_attributes_clause The physical_attributes_clause lets you specify the value of the PCTFREE, PCTUSED, and INITRANS parameters and the storage characteristics of the table.
For a nonpartitioned table, each parameter and storage characteristic you specify determines the actual physical attribute of the segment associated with the table.
For partitioned tables, the value you specify for the parameter or storage characteristic is the default physical attribute of the segments associated with all partitions specified in this CREATE statement (and in subsequent ALTER TABLE ... ADD PARTITION statements), unless you explicitly override that value in the PARTITION clause of the statement that creates the partition.
If you omit this clause, then Oracle Database sets PCTFREE to 10, PCTUSED to 40, and INITRANS to 1.
See Also:
physical_attributes_clause and storage_clause for a description of these clauses
TABLESPACE Specify the tablespace in which Oracle Database creates the table, object table OIDINDEX, partition, LOB data segment, LOB index segment, or index-organized table overflow data segment. If you omit TABLESPACE, then the database creates that item in the default tablespace of the owner of the schema containing the table.
For a heap-organized table with one or more LOB columns, if you omit the TABLESPACE clause for LOB storage, then the database creates the LOB data and index segments in the tablespace where the table is created.
For an index-organized table with one or more LOB columns, if you omit TABLESPACE, then the LOB data and index segments are created in the tablespace in which the primary key index segment of the index-organized table is created.
For nonpartitioned tables, the value specified for TABLESPACE is the actual physical attribute of the segment associated with the table. For partitioned tables, the value specified for TABLESPACE is the default physical attribute of the segments associated with all partitions specified in the CREATE statement and on subsequent ALTER TABLE ... ADD PARTITION statements, unless you specify TABLESPACE in the PARTITION description.
See Also:
CREATE TABLESPACE for more information on tablespacesSpecify whether the creation of the table and of any indexes required because of constraints, partition, or LOB storage characteristics will be logged in the redo log file (LOGGING) or not (NOLOGGING).The logging attribute of the table is independent of that of its indexes.
This attribute also specifies whether subsequent direct loader (SQL*Loader) and direct-path INSERT operations against the table, partition, or LOB storage are logged (LOGGING) or not logged (NOLOGGING).
Please refer to logging_clause for a full description of this clause.
The table_compression clause is valid only for heap-organized tables. Use this clause to instruct the database whether to compress data segments to reduce disk use. This clause is especially useful in environments such as data warehouses, where the amount of insert and update operations is small. The COMPRESS keyword enables table compression. The NOCOMPRESS keyword disables table compression. NOCOMPRESS is the default.
When you enable table compression, Oracle Database attempts to compress data during direct-path INSERT operations when it is productive to do so. The original import utility (imp) does not support direct-path INSERT, and therefore cannot import data in a compressed format. You can specify table compression for the following portions of a heap-organized table:
For an entire table, in the physical_properties clause of relational_table or object_table
For a range partition, in the table_partition_description of the range_partitioning clause
For a list partition, in the table_partition_description of the list_partitioning clause
For the storage table of a nested table, in the nested_table_col_properties clause
See Also:
"Conventional and Direct-Path INSERT" for information on direct-path INSERT operations, including restrictions
Oracle Database Performance Tuning Guide for information on calculating the compression ratio and to Oracle Data Warehousing Guide for information on table compression usage scenarios
Restrictions on Table Compression Table compression is subject to the following restrictions:
Table compression is not supported for tables with more than 255 columns.
LOB data segments are not compressed.
You cannot specify table compression for an index-organized table, any overflow segment or partition of an overflow segment, or any mapping table segment of an index-organized table.
You cannot define table compression explicitly for hash partitions or hash and list subpartitions. The table compression attribute for those partitions is inherited from the tablespace, the table, or the table partition setting.
You cannot specify table compression for external tables or for tables that are part of a cluster.
These keywords are deprecated and have been replaced with LOGGING and NOLOGGING, respectively. Although RECOVERABLE and UNRECOVERABLE are supported for backward compatibility, Oracle strongly recommends that you use the LOGGING and NOLOGGING keywords.
Restrictions on [UN]RECOVERABLE This clause is subject to the following restrictions:
You cannot specify RECOVERABLE for partitioned tables or LOB storage characteristics.
You cannot specify UNRECOVERABLE for partitioned or index-organized tables.
You can specify UNRECOVERABLE only with AS subquery.
The ORGANIZATION clause lets you specify the order in which the data rows of the table are stored.
HEAP HEAP indicates that the data rows of table are stored in no particular order. This is the default.
INDEX INDEX indicates that table is created as an index-organized table. In an index-organized table, the data rows are held in an index defined on the primary key for the table.
EXTERNAL EXTERNAL indicates that table is a read-only table located outside the database.
See Also:
"External Table Example"index_org_table_clause
Use the index_org_table_clause to create an index-organized table. Oracle Database maintains the table rows, both primary key column values and nonkey column values, in an index built on the primary key. Index-organized tables are therefore best suited for primary key-based access and manipulation. An index-organized table is an alternative to:
A noncluster table indexed on the primary key by using the CREATE INDEX statement
A cluster table stored in an indexed cluster that has been created using the CREATE CLUSTER statement that maps the primary key for the table to the cluster key
You must specify a primary key for an index-organized table, because the primary key uniquely identifies a row. The primary key cannot be DEFERRABLE. Use the primary key instead of the rowid for directly accessing index-organized rows.
If an index-organized table is partitioned and contains LOB columns, then you should specify the index_org_table_clause first, then the LOB_storage_clause, and then the appropriate table_partitioning_clauses.
You cannot use the TO_LOB function to convert a LONG column to a LOB column in the subquery of a CREATE TABLE ... AS SELECT statement if you are creating an index-organized table. Instead, create the index-organized table without the LONG column, and then use the TO_LOB function in an INSERT ... AS SELECT statement.
See Also:
"Index-Organized Table Example"Restrictions on Index-Organized Tables Index-organized tables are subject to the following restrictions:
You cannot specify a column of type ROWID for an index-organized table.
You cannot specify the composite_partitioning_clause for an index-organized table.
PCTTHRESHOLD integer Specify the percentage of space reserved in the index block for an index-organized table row. PCTTHRESHOLD must be large enough to hold the primary key. All trailing columns of a row, starting with the column that causes the specified threshold to be exceeded, are stored in the overflow segment. PCTTHRESHOLD must be a value from 1 to 50. If you do not specify PCTTHRESHOLD, the default is 50.
Restriction on PCTTHRESHOLD You cannot specify PCTTHRESHOLD for individual partitions of an index-organized table.
mapping_table_clauses Specify MAPPING TABLE to instruct the database to create a mapping of local to physical ROWIDs and store them in a heap-organized table. This mapping is needed in order to create a bitmap index on the index-organized table. If the index-organized table is partitioned, then the mapping table is also partitioned and its partitions have the same name and physical attributes as the base table partitions.
Oracle Database creates the mapping table or mapping table partition in the same tablespace as its parent index-organized table or partition. You cannot query, perform DML operations on, or modify the storage characteristics of the mapping table or its partitions.
key_compression The key_compression clauses let you enable or disable key compression for index-organized tables.
Specify COMPRESS to enable key compression, which eliminates repeated occurrence of primary key column values in index-organized tables. Use integer to specify the prefix length, which is the number of prefix columns to compress.
The valid range of prefix length values is from 1 to the number of primary key columns minus 1. The default prefix length is the number of primary key columns minus 1.
Specify NOCOMPRESS to disable key compression in index-organized tables. This is the default.
Restriction on Key Compression of Index-organized Tables At the partition level, you can specify COMPRESS, but you cannot specify the prefix length with integer.
index_org_overflow_clause The index_org_overflow_clause lets you instruct the database that index-organized table data rows exceeding the specified threshold are placed in the data segment specified in this clause.
When you create an index-organized table, Oracle Database evaluates the maximum size of each column to estimate the largest possible row. If an overflow segment is needed but you have not specified OVERFLOW, then the database raises an error and does not execute the CREATE TABLE statement. This checking function guarantees that subsequent DML operations on the index-organized table will not fail because an overflow segment is lacking.
All physical attributes and storage characteristics you specify in this clause after the OVERFLOW keyword apply only to the overflow segment of the table. Physical attributes and storage characteristics for the index-organized table itself, default values for all its partitions, and values for individual partitions must be specified before this keyword.
If the index-organized table contains one or more LOB columns, then the LOBs will be stored out-of-line unless you specify OVERFLOW, even if they would otherwise be small enough be to stored inline.
If table is partitioned, then the database equipartitions the overflow data segments with the primary key index segments.
INCLUDING column_name Specify a column at which to divide an index-organized table row into index and overflow portions. The primary key columns are always stored in the index. column_name can be either the last primary key column or any non primary key column. All non primary key columns that follow column_name are stored in the overflow data segment.
If an attempt to divide a row at column_name causes the size of the index portion of the row to exceed the specified or default PCTTHRESHOLD value, then the database breaks up the row based on the PCTTHRESHOLD value.
Restriction on the INCLUDING Clause You cannot specify this clause for individual partitions of an index-organized table.
Use the external_table_clause to create an external table, which is a read-only table whose metadata is stored in the database but whose data in stored outside the database. Among other capabilities, external tables let you query data without first loading it into the database.
See Also:
Oracle Data Warehousing Guide, Oracle Database Administrator's Guide, and Oracle Database Utilities for information on the uses for external tablesBecause external tables have no data in the database, you define them with a small subset of the clauses normally available when creating tables.
Within the relational_properties clause, you can specify only column and datatype.
Within the physical_properties_clause, you can specify only the organization of the table (ORGANIZATION EXTERNAL external_table_clause).
Within the table_properties clause, you can specify only the parallel_clause. The parallel_clause lets you parallelize subsequent queries on the external data and subsequent operations that populate the external table.
You can populate the external table at create time by using the AS subquery clause.
No other clauses are permitted in the same CREATE TABLE statement.
See Also:
ALTER TABLE ... "PROJECT COLUMN Clause" for information on the effect of changing the default property of the column projection
Restrictions on External Tables External tables are subject to the following restrictions:
An external table cannot be a temporary table.
You cannot specify constraints on an external table.
An external table cannot have object type, varray, or LONG columns. However, you can populate LOB columns of an external table with varray or LONG data from an internal database table.
TYPE TYPE access_driver_type indicates the access driver of the external table. The access driver is the API that interprets the external data for the database. Oracle Database provides two access drivers: ORACLE_LOADER and ORACLE_DATAPUMP. If you do not specify TYPE, then the database uses ORACLE_LOADER as the default access driver. You must specify the ORACLE_DATAPUMP access driver if you specify the AS subquery clause to unload data from one Oracle Database and reload it into the same or a different Oracle Database.
See Also:
Oracle Database Utilities for information about theORACLE_LOADER and ORACLE_DATAPUMP access driversDEFAULT DIRECTORY DEFAULT DIRECTORY lets you specify a default directory object corresponding to a directory on the file system where the external data sources may reside. The default directory can also be used by the access driver to store auxiliary files such as error logs.
ACCESS PARAMETERS The optional ACCESS PARAMETERS clause lets you assign values to the parameters of the specific access driver for this external table.
The opaque_format_spec lets you list the parameters and their values. Please refer to Oracle Database Utilities for information on how to specify values for the opaque_format_spec.
Field names specified in the opaque_format_spec must match columns in the table definition. Oracle Database ignores any field in the opaque_format_spec that is not matched by a column in the table definition.
USING CLOB subquery lets you derive the parameters and their values through a subquery. The subquery cannot contain any set operators or an ORDER BY clause. It must return one row containing a single item of datatype CLOB.
Whether you specify the parameters in an opaque_format_spec or derive them using a subquery, the database does not interpret anything in this clause. It is up to the access driver to interpret this information in the context of the external data.
LOCATION The LOCATION clause lets you specify one or more external data sources. Usually the location_specifier is a file, but it need not be. Oracle Database does not interpret this clause. It is up to the access driver to interpret this information in the context of the external data. You cannot use wildcards in the location_specifier to specify multiple files.
REJECT LIMIT The REJECT LIMIT clause lets you specify how many conversion errors can occur during a query of the external data before an Oracle Database error is returned and the query is aborted. The default value is 0.
The CLUSTER clause indicates that the table is to be part of cluster. The columns listed in this clause are the table columns that correspond to the cluster columns. Generally, the cluster columns of a table are the column or columns that make up its primary key or a portion of its primary key. Please refer to CREATE CLUSTER for more information.
Specify one column from the table for each column in the cluster key. The columns are matched by position, not by name.
A cluster table uses the space allocation of the cluster. Therefore, do not use the PCTFREE, PCTUSED, or INITRANS parameters, the TABLESPACE clause, or the storage_clause with the CLUSTER clause.
Restrictions on Cluster Tables Cluster tables are subject to the following restrictions:
Object tables and tables containing LOB columns cannot be part of a cluster.
You cannot specify CLUSTER with either ROWDEPENDENCIES or NOROWDEPENDENCIES unless the cluster has been created with the same ROWDEPENDENCIES or NOROWDEPENDENCIES setting.
table_properties
The table_properties further define the characteristics of the table.
Use the column_properties clauses to specify the storage attributes of a column.
The object_type_col_properties determine storage characteristics of an object column or attribute or of an element of a collection column or attribute.
column For column, specify an object column or attribute.
substitutable_column_clause The substitutable_column_clause indicates whether object columns or attributes in the same hierarchy are substitutable for each other. You can specify that a column is of a particular type, or whether it can contain instances of its subtypes, or both.
If you specify ELEMENT, you constrain the element type of a collection column or attribute to a subtype of its declared type.
The IS OF [TYPE] (ONLY type) clause constrains the type of the object column to a subtype of its declared type.
NOT SUBSTITUTABLE AT ALL LEVELS indicates that the object column cannot hold instances corresponding to any of its subtypes. Also, substitution is disabled for any embedded object attributes and elements of embedded nested tables and varrays. The default is SUBSTITUTABLE AT ALL LEVELS.
Restrictions on the substitutable_column_clause This clause is subject to the following restrictions:
You cannot specify this clause for an attribute of an object column. However, you can specify this clause for a object type column of a relational table and for an object column of an object table if the substitutability of the object table itself has not been set.
For a collection type column, the only part of this clause you can specify is [NOT] SUBSTITUTABLE AT ALL LEVELS.
The LOB_storage_clause lets you specify the storage attributes of LOB data segments.
For a nonpartitioned table, this clause specifies the storage attributes of LOB data segments of the table.
For a partitioned table, Oracle Database implements this clause depending on where it is specified:
For a partitioned table specified at the table level--that is, when specified in the physical_properties clause along with one of the partitioning clauses--this clause specifies the default storage attributes for LOB data segments associated with each partition or subpartition. These storage attributes apply to all partitions or subpartitions unless overridden by a LOB_storage_clause at the partition or subpartition level.
For an individual partition of a partitioned table--that is, when specified as part of a table_partition_description--this clause specifies the storage attributes of the data segments of the partition or the default storage attributes of any subpartitions of the partition. A partition-level LOB_storage_clause overrides a table-level LOB_storage_clause.
For an individual subpartition of a partitioned table--that is, when specified as part of subpartition_by_hash or subpartition_by_list--this clause specifies the storage attributes of the data segments of the subpartition. A subpartition-level LOB_storage_clause overrides both partition-level and table-level LOB_storage_clauses.
See Also:
Oracle Database Application Developer's Guide - Large Objects for detailed information about LOBs, including guidelines for creating gigabyte LOBs
LOB_item
Specify the LOB column name or LOB object attribute for which you are explicitly defining tablespace and storage characteristics that are different from those of the table. Oracle Database automatically creates a system-managed index for each LOB_item you create.
LOB_segname
Specify the name of the LOB data segment. You cannot use LOB_segname if you specify more than one LOB_item.
The LOB_parameters clause lets you specify various elements of LOB storage.
ENABLE STORAGE IN ROW If you enable storage in row, then the LOB value is stored in the row (inline) if its length is less than approximately 4000 bytes minus system control information. This is the default.
Restriction on Enabling Storage in Row For an index-organized table, you cannot specify this parameter unless you have specified an OVERFLOW segment in the index_org_table_clause.
DISABLE STORAGE IN ROW If you disable storage in row, then the LOB value is stored outside of the row out of line regardless of the length of the LOB value.
The LOB locator is always stored inline regardless of where the LOB value is stored. You cannot change the value of STORAGE IN ROW once it is set except by moving the table. See the move_table_clause in the ALTER TABLE documentation for more information.
CHUNK integer Specify the number of bytes to be allocated for LOB manipulation. If integer is not a multiple of the database block size, then the database rounds up in bytes to the next multiple. For example, if the database block size is 2048 and integer is 2050, then the database allocates 4096 bytes (2 blocks). The maximum value is 32768 (32K), which is the largest Oracle Database block size allowed. The default CHUNK size is one Oracle Database block.
The value of CHUNK must be less than or equal to the value of NEXT, either the default value or that specified in the storage_clause. If CHUNK exceeds the value of NEXT, then the database returns an error.You cannot change the value of CHUNK once it is set.
PCTVERSION integer Specify the maximum percentage of overall LOB storage space used for maintaining old versions of the LOB. The default value is 10, meaning that older versions of the LOB data are not overwritten until they consume 10% of the overall LOB storage space.
You can specify the PCTVERSION parameter whether the database is running in manual or automatic undo mode. PCTVERSION is the default in manual undo mode. RETENTION is the default in automatic undo mode. You cannot specify both PCTVERSION and RETENTION.
RETENTION Use this clause to indicate that Oracle Database should retain old versions of this LOB column. Oracle Database uses the value of the UNDO_RETENTION initialization parameter to determine the amount of committed undo data to retain in the database.
You can specify the RETENTION parameter only if the database is running in automatic undo mode. In this mode, RETENTION is the default value unless you specify PCTVERSION. You cannot specify both PCTVERSION and RETENTION.
See Also:
"Creating an Undo Tablespace: Example"FREEPOOLS integer Specify the number of groups of free lists for the LOB segment. Normally integer will be the number of instances in a Real Application Clusters environment or 1 for a single-instance database.
You can specify this parameter only if the database is running in automatic undo mode. In this mode, FREEPOOLS is the default unless you specify the FREELIST GROUPS parameter of the storage_clause. If you specify neither FREEPOOLS nor FREELIST GROUPS, then the database uses a default of FREEPOOLS 1 if the database is in automatic undo management mode and a default of FREELIST GROUPS 1 if the database is in manual undo management mode.
Restriction on FREEPOOLS You cannot specify both FREEPOOLS and the FREELIST GROUPS parameter of the storage_clause.
The varray_col_properties let you specify separate storage characteristics for the LOB in which a varray will be stored. If varray_item is a multilevel collection, then the database stores all collection items nested within varray_item in the same LOB in which varray_item is stored.
For a nonpartitioned table--that is, when specified in the physical_properties clause without any of the partitioning clauses--this clause specifies the storage attributes of the LOB data segments of the varray.
For a partitioned table specified at the table level--that is, when specified in the physical_properties clause along with one of the partitioning clauses--this clause specifies the default storage attributes for the varray LOB data segments associated with each partition (or its subpartitions, if any).
For an individual partition of a partitioned table--that is, when specified as part of a table_partition_description--this clause specifies the storage attributes of the varray LOB data segments of that partition or the default storage attributes of the varray LOB data segments of any subpartitions of this partition. A partition-level varray_col_properties overrides a table-level varray_col_properties.
For an individual subpartition of a partitioned table--that is, when specified as part of subpartition_by_hash or subpartition_by_list--this clause specifies the storage attributes of the varray data segments of this subpartition. A subpartition-level varray_col_properties overrides both partition-level and table-level varray_col_properties.
STORE AS LOB Clause If you specify STORE AS LOB:
If the maximum varray size is less than 4000 bytes, then the database stores the varray as an inline LOB unless you have disabled storage in row.
If the maximum varray size is greater than 4000 bytes or if you have disabled storage in row, then the database stores in the varray as an out-of-line LOB.
If you do not specify STORE AS LOB, then storage is based on the maximum possible size of the varray rather than on the actual size of a varray column. The maximum size of the varray is the number of elements times the element size, plus a small amount for system control information. If you omit this clause:
If the maximum size of the varray is less than 4000 bytes, then the database does not store the varray as a LOB, but as inline data.
If the maximum size is greater than 4000 bytes, then the database always stores the varray as a LOB.
If the actual size is less than 4000 bytes, it is stored as an inline LOB
If the actual size is greater than 4000 bytes, it is stored as an out-of-line LOB, as is true for other LOB columns.
Restriction on Storing Varrays as LOBs You cannot specify the TABLESPACE parameter of LOB_parameters as part of this clause. The LOB tablespace for a varray defaults to the tablespace of the containing table or table partition.
substitutable_column_clause The substitutable_column_clause has the same behavior as described for object_type_col_properties.
The nested_table_col_properties let you specify separate storage characteristics for a nested table, which in turn enables you to define the nested table as an index-organized table. Unless you explicitly specify otherwise in this clause:
For a nonpartitioned table, the storage table is created in the same schema and the same tablespace as the parent table.
For a partitioned table, the storage table is created in the default tablespace of the schema.
In either case, the storage table uses default storage characteristics, and stores the nested table values of the column for which it was created.
You must include this clause when creating a table with columns or column attributes whose type is a nested table. Clauses within nested_table_col_properties that function the same way they function for the parent table are not repeated here.
nested_item Specify the name of a column, or of a top-level attribute of the object type of the tables, whose type is a nested table.
COLUMN_VALUE If the nested table is a multilevel collection, then the inner nested table or varray may not have a name. In this case, specify COLUMN_VALUE in place of the nested_item name.
storage_table Specify the name of the table where the rows of nested_item reside.
You cannot query or perform DML statements on storage_table directly, but you can modify its storage characteristics by specifying its name in an ALTER TABLE statement.
Restriction on the Storage Table You cannot partition the storage table of a nested table.
See Also:
ALTER TABLE for information about modifying nested table column storage characteristicsRETURN AS Specify what Oracle Database returns as the result of a query.
VALUE returns a copy of the nested table itself.
LOCATOR returns a collection locator to the copy of the nested table.
The locator is scoped to the session and cannot be used across sessions. Unlike a LOB locator, the collection locator cannot be used to modify the collection instance.
If you do not specify the segment_attributes_clause or the LOB_storage_clause, then the nested table is heap organized and is created with default storage characteristics.
Restrictions on Nested Table Column Properties Nested table column properties are subject to the following restrictions:
You cannot specify this clause for a temporary table.
You cannot specify the oid_clause.
At create time, you cannot use object_properties to specify an out_of_line_ref_constraint, inline_ref_constraint, or foreign key constraint for the attributes of a nested table. However, you can modify a nested table to add such constraints using ALTER TABLE.
See Also:
ALTER TABLE for information about modifying nested table column storage characteristics
The XMLType_column_properties let you specify storage attributes for an XMLTYPE column.
XMLType_storage XMLType columns can be stored either in LOB or object-relational columns.
Specify STORE AS OBJECT RELATIONAL if you want the database to store the XMLType data in object-relational columns. Storing data objects relationally lets you define indexes on the relational columns and enhances query performance.
If you specify object-relational storage, then you must also specify the XMLSchema_spec clause.
Specify STORE AS CLOB if you want the database to store the XMLType data in a CLOB column. Storing data in a CLOB column preserves the original content and enhances retrieval time.
If you specify LOB storage, then you can specify either LOB parameters or the XMLSchema_spec clause, but not both. Specify the XMLSchema_spec clause if you want to restrict the table or column to particular schema-based XML instances.
XMLSchema_spec This clause lets you specify the URL of a registered XMLSchema, either in the XMLSCHEMA clause or as part of the ELEMENT clause, and an XML element name. You must specify an element, although the XMLSchema URL is optional. If you do specify an XMLSchema URL, then you must already have registered the XMLSchema using the DBMS_XMLSCHEMA package.
See Also:
LOB_storage_clause for information on the LOB_segname and LOB_parameters clauses
"XMLType Column Examples" for examples of XMLType columns in object-relational tables and "Using XML in SQL Statements" for an example of creating an XMLSchema
Oracle XML DB Developer's Guide for more information on XMLType columns and tables and on creating XMLSchemas
PL/SQL Packages and Types Reference for information on the DBMS_XMLSCHEMA package
Use the table_partitioning_clauses to create a partitioned table.
Restrictions on Partitioning in General All partitioning is subject to the following restrictions:
You cannot partition a table that is part of a cluster.
You cannot partition a table containing any LONG or LONG RAW columns.
The storage of partitioned database entities in tablespaces of different block sizes is subject to several restrictions. Please refer to Oracle Database Administrator's Guide for a discussion of these restrictions.
See Also:
"Partitioning Examples"Use the range_partitioning clause to partition the table on ranges of values from the column list. For an index-organized table, the column list must be a subset of the primary key columns of the table.
column
Specify an ordered list of columns used to determine into which partition a row belongs. These columns are the partitioning key.
Restriction on Partitioning Key Columns The columns in the column list can be of any built-in datatype except ROWID, LONG, LOB, or TIMESTAMP WITH TIME ZONE. However, columns of TIMESTAMP or TIMESTAMP WITH LOCAL TIME ZONE can be used in the partitioning key.
The name partition must conform to the rules for naming schema objects and their part as described in "Schema Object Naming Rules". If you omit partition, then the database generates a name with the form SYS_Pn.
You can specify up to a total of 1024K-1 partitions and subpartitions. For a discussion of factors that might impose practical limits less than this number, please refer to Oracle Database Administrator's Guide.
You can create a partitioned table with just one partition. However, this is different from a nonpartitioned table. For instance, you cannot add a partition to a nonpartitioned table.
Specify the noninclusive upper bound for the current partition. The value list is an ordered list of literal values corresponding to the column list in the range_partitioning clause. You can substitute the keyword MAXVALUE for any literal in in the value list. MAXVALUE specifies a maximum value that will always sort higher than any other value, including null.
Specifying a value other than MAXVALUE for the highest partition bound imposes an implicit integrity constraint on the table.
Note:
Iftable is partitioned on a DATE column, and if the date format does not specify the first two digits of the year, then you must use the TO_DATE function with the YYYY 4-character format mask for the year. The RRRR format mask is not supported in this clause. The date format is determined implicitly by NLS_TERRITORY or explicitly by NLS_DATE_FORMAT. Please refer to Oracle Database Globalization Support Guide for more information on these initialization parameters.See Also:
Oracle Database Concepts for more information about partition bounds
table_partition_description
Use the table_partition_description to define the physical and storage characteristics of the table.
The segment_attributes_clause and table_compression clause have the same function as described for the table_properties of the table as a whole.
The key_compression clause and OVERFLOW clause have the same function as described for the index_org_table_clause .
LOB_storage_clause The LOB_storage_clause lets you specify LOB storage characteristics for one or more LOB items in this partition or in any list subpartitions of this partition. If you do not specify the LOB_storage_clause for a LOB item, then the database generates a name for each LOB data partition. The system-generated names for LOB data and LOB index partitions take the form SYS_LOB_Pn and SYS_IL_Pn, respectively. The corresponding system-generated names for LOB data and index subpartitions are SYS_LOB_SUBPn and SYS_IL_SUBPn, respectively
varray_col_properties The varray_col_properties let you specify storage characteristics for one or more varray items in this partition or in any list subpartitions of this partition.
Restriction on table_partition_description The partition_level_subpartition clause is valid only for composite-partitioned tables. See partition_level_subpartition.
Use the hash_partitioning clause to specify that the table is to be partitioned using the hash method.
Oracle Database assigns rows to partitions using a hash function on values found in columns designated as the partitioning key. You can specify individual hash partitions or you can specify how many subpartitions the database should create.
column Specify an ordered list of columns used to determine into which partition a row belongs (the partitioning key).
individual_hash_partitions Use this clause to specify individual partitions by name. If you omit the partition name, then the database assigns partition names of the form SYS_Pn.
Restriction on Specifying Individual Hash Partitions The only clause you can specify in the partitioning_storage_clause is the TABLESPACE clause.
Note:
If your enterprise has or will have databases using different character sets, use caution when partitioning on character columns. The sort sequence of characters is not identical in all character sets. Please refer to Oracle Database Globalization Support Guide for more information on character set support.hash_partitions_by_quantity Alternatively, you can specify the number of partitions. In this case, the database assigns partition names of the form SYS_Pn. The STORE IN clause specifies one or more tablespaces where the hash partitions are to be stored. The number of tablespaces does not have to equal the number of partitions. If the number of partitions is greater than the number of tablespaces, then the database cycles through the names of the tablespaces.
For both methods of hash partitioning, for optimal load balancing you should specify a number of partitions that is a power of 2. Also for both methods of hash partitioning, the only attribute you can specify for hash partitions is TABLESPACE. Hash partitions inherit all other attributes from table-level defaults.
Tablespace storage specified at the table level is overridden by tablespace storage specified at the partition level, which in turn is overridden by tablespace storage specified at the subpartition level.
In the individual_hash_partitions clause, the TABLESPACE clause of the partitioning_storage_clause determines tablespace storage only for the individual partition being created. In the hash_partitions_by_quantity clause, the STORE IN clause determines placement of partitions as the table is being created and the default storage location for subsequently added partitions.
See Also:
Oracle Database Concepts for more information on hash partitioningRestrictions on Hash Partitioning Hash partitioning is subject to the following restrictions:
You cannot specify more than 16 partitioning columns.
The column list cannot contain the ROWID or UROWID pseudocolumns.
The column list can be of any built-in datatype except ROWID, LONG, or LOB.
Use the list_partitioning clause to partition the table on lists of literal values from column. List partitioning is useful for controlling how individual rows map to specific partitions.
If you omit the partition name, then the database assigns partition names of the form SYS_Pn.
list_values_clause The list_values_clause of each partition must have at least one value. No value, including NULL, can appear in more than one partition. List partitions are not ordered.
If you specify the literal NULL for a partition value in the VALUES clause, then to access data in that partition in subsequent queries, you must use an IS NULL condition in the WHERE clause, rather than a comparison condition.
The DEFAULT keyword creates a partition into which the database will insert any row that does not map to another partition. Therefore, you can specify DEFAULT for only one partition, and you cannot specify any other values for that partition. Further, the default partition must be the last partition you define. The use of DEFAULT is similar to the use of MAXVALUE for range partitions.
The string comprising the list of values for each partition can be up to 4K bytes. The total number of values for all partitions cannot exceed 64K-1.
Restrictions on List Partitioning List partitioning is subject to the following restrictions:
You cannot subpartition a list partition.
You can specify only one partitioning key in column_list, and it cannot be a LOB column.
If the partitioning key is an object type column, then you can partition on only one attribute of the column type.
Each value in the list_values_clause must be unique among all partitions of table.
Use the composite_partitioning clause to first partition table by range, and then partition the partitions further into hash or list subpartitions. This combination of range partitioning and hash or list subpartitioning is called composite partitioning.
After establishing the type of subpartitioning you want for each composite partition, using the subpartition_by_hash or subpartition_by_list clause, you must define each of the range partitions.
You must specify the range_values_clause , which has the same requirements as for noncomposite range partitions.
Use the table_partition_description to define the physical and storage characteristics of the each partition. Within the table_partition_description, you can use the partition_level_subpartition clause to define the properties of individual subpartitions.
If you omit the partition name, then the database generates a name with the form SYS_Pn.
The only characteristic you can specify for a hash or list subpartition or a LOB subpartition is TABLESPACE.
Restriction on Composite Partitioning You cannot specify composite partitioning for an index-organized table. Therefore, the OVERFLOW clause of the table_partition_description is not valid for composite-partitioned tables.
subpartition_template The subpartition_template is an optional element of both range-hash and range-list composite partitioning. The template lets you define default subpartitions for each table partition. Oracle Database will create these default subpartitions in any partition for which you do not explicitly define subpartitions. This clause is useful for creating symmetric partitions. You can override this clause by explicitly defining subpartitions at the partition level, in the partition_level_subpartition clause.
When defining subpartitions with a template, you must specify a name for each subpartition.
Note:
When you specify tablespace storage for the subpartition template, it does not override any tablespace storage you have specified explicitly for the partitions oftable. To specify tablespace storage for subpartitions, do one of these things:
Omit tablespace storage at the partition level and specify tablespace storage in the subpartition template.
Define individual subpartitions with specific tablespace storage.
Restrictions on Subpartition Templates Subpartition templates are subject to the following restrictions:
For a range-hash composite-partitioned table, you cannot specify the list_values_clause.
For a range-list composite-partitioned table, you cannot specify the hash_subpartition_quantity clause.
For both range-hash and range-list partitioned tables, the only clause of the partitioning_storage_clause you can specify for subpartitions is the TABLESPACE clause.
If you specify TABLESPACE for one subpartition, then you must specify TABLESPACE for all subpartitions. You can specify the same tablespace for more than one subpartition.
If you specify TABLESPACE for one LOB subpartition, then you must specify TABLESPACE for all of the LOB subpartitions of that LOB column. You can specify the same tablespace for more than one LOB subpartition.
If you specify separate LOB storage for list subpartitions using the partitioning_storage_clause, either in the subpartition_template or when defining individual subpartitions, then you must specify LOB_segname for both LOB and varray columns.
Use the subpartition_by_hash clause to indicate that the database should subpartition by hash each partition in table. The subpartitioning column list is unrelated to the partitioning key but is subject to the same restrictions (see column).
You can define the subpartitions using the subpartition_template or the SUBPARTITIONS quantity clause. See subpartition_template. In either case, for optimal load balancing you should specify a number of partitions that is a power of 2.
SUBPARTITIONS quantity Specify the default number of subpartitions in each partition of table, and optionally one or more tablespaces in which they are to be stored.
The default value is 1. If you omit both this clause and subpartition_template, then the database will create each partition with one hash subpartition unless you subsequently specify the partition_level_subpartition clause.
Restriction on Hash Subpartitioning In addition to the restrictions for composite partitioning in general (see composite_partitioning ), for hash subpartitioning in subpartition_template, you cannot specify the list_values_clause.
Use the subpartition_by_list clause to indicate that the database should subpartition each partition in table by literal values from column.
If you omit subpartition_template, then you can define list subpartitions individually for each partition using the partition_level_subpartition clause of table_partition_description. If you omit both subpartition_template and partition_level_subpartition, then the database creates a single DEFAULT subpartition.
Restrictions on List Subpartitioning List subpartitioning is subject to the following restrictions:
In addition to the restrictions for composite partitioning in general (see composite_partitioning ), for list subpartitioning:
You can specify only one subpartitioning key column.
You must specify the list_values_clause, which is subject to the same requirements as at the table level.
In the subpartition_template, you cannot specify the hash_subpartition_quantity clause.
partition_level_subpartition
This clause of the table_partition_description is valid only for composite-partitioned tables. This clause lets you specify hash or list subpartitions for partition. This clause overrides the default settings established for range-hash composite partitions in the subpartition_by_hash clause or for range-hash or range-list composite partitions in the subpartition_template.
Notes on Composite Partitions The following notes apply to composite partitions:
You can specify the number of subpartitions and optionally one or more tablespaces where they are to be stored. In this case, Oracle Database assigns subpartition names of the form SYS_SUBPn. The number of tablespaces does not have to equal the number of subpartitions. If the number of partitions is greater than the number of tablespaces, then the database cycles through the names of the tablespaces.
Alternatively, you can use the subpartition_spec to specify individual subpartitions by name, and optionally the tablespace where each should be stored.
If you omit partition_level_subpartition and if you have created a subpartition template, then the database uses the template to create subpartitions. If you have not created a subpartition template, then the database creates one hash subpartition or one DEFAULT list subpartition.
If you omit partition_level_subpartition entirely, then the database assigns subpartition names as follows:
If you have specified a subpartition template and you have specified partition names, then the database generates subpartition names of the form partition_name underscore (_) subpartition_name (for example, P1_SUB1).
If you have not specified a subpartition template or if you have specified a subpartition template but did not specify partition names, then the database generates subpartition names of the form SYS_SUBPn.
In partition_spec, the only clause of the partitioning_storage_clause you can specify is the TABLESPACE clause.
For range-hash composite partitions, the list_values_clause of subpartition_spec is not relevant and is invalid.
For range-list composite partitions:
The hash_subpartition_quantity is not relevant, so you specify subpartition_spec.
Within subpartition_spec, you must specify the list_values_clause for each subpartition, and the values you specify for each subpartition cannot exist in any other subpartition of the same partition.
CACHE | NOCACHE | CACHE READS
Use the CACHE clauses to indicate how Oracle Database should store blocks in the buffer cache. If you specify neither CACHE nor NOCACHE, then:
In a CREATE TABLE statement, NOCACHE is the default
In an ALTER TABLE statement, the existing value is not changed.
CACHE For data that is accessed frequently, this clause indicates that the blocks retrieved for this table are placed at the most recently used end of the least recently used (LRU) list in the buffer cache when a full table scan is performed. This attribute is useful for small lookup tables.
As a parameter in the LOB_storage_clause, CACHE specifies that the database places LOB data values in the buffer cache for faster access.
Restriction on CACHE You cannot specify CACHE for an index-organized table. However, index-organized tables implicitly provide CACHE behavior.
NOCACHE For data that is not accessed frequently, this clause indicates that the blocks retrieved for this table are placed at the least recently used end of the LRU list in the buffer cache when a full table scan is performed. NOCACHE is the default for LOB storage.
As a parameter in the LOB_storage_clause, NOCACHE specifies that the LOB value either is not brought into the buffer cache or is brought into the buffer cache and placed at the least recently used end of the LRU list. The latter is the default behavior.
Restriction on NOCACHE You cannot specify NOCACHE for an index-organized table.
CACHE READS CACHE READS applies only to LOB storage. It specifies that LOB values are brought into the buffer cache only during read operations but not during write operations.
See Also:
logging_clause for a description of thelogging_clause when specified as part of LOB_parametersThe parallel_clause lets you parallelize creation of the table and set the default degree of parallelism for queries and the DML INSERT, UPDATE, DELETE, and MERGE after table creation.
Note:
The syntax of theparallel_clause supersedes syntax appearing in earlier releases of Oracle. Superseded syntax is still supported for backward compatibility but may result in slightly different behavior from that documented.NOPARALLEL Specify NOPARALLEL for serial execution. This is the default.
PARALLEL Specify PARALLEL if you want Oracle to select a degree of parallelism equal to the number of CPUs available on all participating instances times the value of the PARALLEL_THREADS_PER_CPU initialization parameter.
PARALLEL integer Specification of integer indicates the degree of parallelism, which is the number of parallel threads used in the parallel operation. Each parallel thread may use one or two parallel execution servers. Normally Oracle calculates the optimum degree of parallelism, so it is not necessary for you to specify integer.
See Also:
parallel_clause for more information on this clauseNOROWDEPENDENCIES | ROWDEPENDENCIES
This clause lets you specify whether table will use row-level dependency tracking. With this feature, each row in the table has a system change number (SCN) that represents a time greater than or equal to the commit time of the last transaction that modified the row. You cannot change this setting after table is created.
ROWDEPENDENCIES Specify ROWDEPENDENCIES if you want to enable row-level dependency tracking. This setting is useful primarily to allow for parallel propagation in replication environments. It increases the size of each row by 6 bytes.
NOROWDEPENDENCIES Specify NOROWDEPENDENCIES if you do not want table to use the row-level dependency tracking feature. This is the default.
See Also:
Oracle Database Advanced Replication for information about the use of row-level dependency tracking in replication environmentsIn earlier releases, you could use these clauses to start or stop the collection of modification statistics on this table. These clauses have been deprecated.
If you formerly collected modification statistics on tables by using the DBMS_STATS package in GATHER AUTO or GATHER STALE mode, then you no longer have to do anything. Oracle Database now collects these statistics automatically, and the MONITORING and NOMONITORING keywords in existing code will not cause an error.
If, for performance reasons, you do not want to collect modification statistics on any tables, then you should set the STATISTICS_LEVEL initialization parameter to BASIC. Be aware, however, that doing so disables a number of manageability features.
See Also:
Oracle Database Reference for information on theSTATISTICS_LEVEL initialization parameter, including its affect on Oracle Database manageability featuresThe enable_disable_clause lets you specify whether Oracle Database should apply a constraint. By default, constraints are created in ENABLE VALIDATE state.
Restrictions on Enabling and Disabling Constraints Enabling and disabling constraints are subject to the following restrictions:
To enable or disable any integrity constraint, you must have defined the constraint in this or a previous statement.
You cannot enable a foreign key constraint unless the referenced unique or primary key constraint is already enabled.
See Also:
constraint for more information on constraints, "ENABLE VALIDATE Example", and "DISABLE Example"ENABLE Clause Use this clause if you want the constraint to be applied to the data in the table. This clause is described fully in "ENABLE Clause" in the documentation on constraints.
DISABLE Clause Use this clause if you want to disable the integrity constraint. This clause is described fully in "DISABLE Clause" in the documentation on constraints.
UNIQUE The UNIQUE clause lets you enable or disable the unique constraint defined on the specified column or combination of columns.
PRIMARY KEY The PRIMARY KEY clause lets you enable or disable the primary key constraint defined on the table.
CONSTRAINT The CONSTRAINT clause lets you enable or disable the integrity constraint named constraint.
KEEP | DROP INDEX This clause lets you either preserve or drop the index Oracle Database has been using to enforce a unique or primary key constraint.
Restriction on Preserving and Dropping Indexes You can specify this clause only when disabling a unique or primary key constraint.
using_index_clause The using_index_clause lets you specify an index for Oracle Database to use to enforce a unique or primary key constraint, or lets you instruct the database to create the index used to enforce the constraint. This clause is discussed fully in using_index_clause in the documentation on constraints.
See Also:
CREATE INDEX for a description of index_attributes, the global_partitioned_index and local_partitioned_index clauses, NOSORT, and the logging_clause in relation to indexes
constraint for information on the using_index_clause and on PRIMARY KEY and UNIQUE constraints
"Explicit Index Control Example" for an example of using an index to enforce a constraint
CASCADE Specify CASCADE to disable any integrity constraints that depend on the specified integrity constraint. To disable a primary or unique key that is part of a referential integrity constraint, you must specify this clause.
Restriction on CASCADE You can specify CASCADE only if you have specified DISABLE.
The row_movement_clause lets you specify whether the database can move a table row. It is possible for a row to move, for example, during table compression or an update operation on partitioned data.
Caution:
If you need static rowids for data access, do not enable row movement. For a normal (heap-organized) table, moving a row changes the rowid of the row. For a moved row in an index-organized table, the logical rowid remains valid, although the physical guess component of the logical rowid becomes inaccurate.Specify ENABLE to allow the database to move a row, thus changing the rowid.
Specify DISABLE if you want to prevent the database from moving a row, thus preventing a change of rowid.
If you omit this clause, then the database disables row movement.
Restriction on Row Movement You cannot specify this clause for a nonpartitioned index-organized table.
Specify a subquery to determine the contents of the table. The rows returned by the subquery are inserted into the table upon its creation.
For object tables, subquery can contain either one expression corresponding to the table type, or the number of top-level attributes of the table type. Please refer to SELECT for more information.
If subquery returns the equivalent of part or all of an existing materialized view, then the database may rewrite the query to use the materialized view in place of one or more tables specified in subquery.
See Also:
Oracle Data Warehousing Guide for more information on materialized views and query rewriteOracle Database derives datatypes and lengths from the subquery. Oracle Database follows the following rules for integrity constraints and other column and table attributes:
Oracle Database automatically defines on columns in the new table any NOT NULL constraints that were explicitly created on the corresponding columns of the selected table if the subquery selects the column rather than an expression containing the column. If any rows violate the constraint, then the database does not create the table and returns an error.
NOT NULL constraints that were implicitly created by Oracle Database on columns of the selected table (for example, for primary keys) are not carried over to the new table.
In addition, primary keys, unique keys, foreign keys, check constraints, partitioning criteria, indexes, and column default values are not carried over to the new table.
If the selected table is partitioned, you can choose whether the new table will be partitioned the same way, partitioned differently, or not partitioned. Partitioning is not carried over to the new table. Specify any desired partitioning as part of the CREATE TABLE statement before the AS subquery clause.
If all expressions in subquery are columns, rather than expressions, then you can omit the columns from the table definition entirely. In this case, the names of the columns of table are the same as the columns in subquery.
You can use subquery in combination with the TO_LOB function to convert the values in a LONG column in another table to LOB values in a column of the table you are creating.
See Also:
Oracle Database Upgrade Guide for a discussion of why and when to copy LONG data to a LOB
"Conversion Functions" for a description of how to use the TO_LOB function
SELECT for more information on the order_by_clause
parallel_clause If you specify the parallel_clause in this statement, then the database will ignore any value you specify for the INITIAL storage parameter and will instead use the value of the NEXT parameter.
See Also:
storage_clause for information on these parametersORDER BY The ORDER BY clause lets you order rows returned by the subquery.
When specified with CREATE TABLE, this clause does not necessarily order data across the entire table. For example, it does not order across partitions. Specify this clause if you intend to create an index on the same key as the ORDER BY key column. Oracle Database will cluster data on the ORDER BY key so that it corresponds to the index key.
Restrictions on the Defining Query of a Table The table query is subject to the following restrictions:
The number of columns in the table must equal the number of expressions in the subquery.
The column definitions can specify only column names, default values, and integrity constraints, not datatypes.
You cannot define a foreign key constraint in a CREATE TABLE statement that contains AS subquery. Instead, you must create the table without the constraint and then add it later with an ALTER TABLE statement.
The OF clause lets you explicitly create an object table of type object_type. The columns of an object table correspond to the top-level attributes of type object_type. Each row will contain an object instance, and each instance will be assigned a unique, system-generated object identifier when a row is inserted. If you omit schema, then the database creates the object table in your own schema.
Object tables, as well as XMLType tables, object views, and XMLType views, do not have any column names specified for them. Therefore, Oracle defines a system-generated pseudocolumn OBJECT_ID. You can use this column name in queries and to create object views with the WITH OBJECT IDENTIFIER clause.
See Also:
"Object Column and Table Examples"Use the object_table_substitution clause to specify whether row objects corresponding to subtypes can be inserted into this object table.
NOT SUBSTITUTABLE AT ALL LEVELS NOT SUBSTITUTABLE AT ALL LEVELS indicates that the object table being created is not substitutable. In addition, substitution is disabled for all embedded object attributes and elements of embedded nested tables and arrays. The default is SUBSTITUTABLE AT ALL LEVELS.
See Also:
CREATE TYPE for more information about creating object types
"User-Defined Types", "User-Defined Functions", "About SQL Expressions", CREATE TYPE, and Oracle Database Administrator's Guide for more information about using REF types
object_properties
The properties of object tables are essentially the same as those of relational tables. However, instead of specifying columns, you specify attributes of the object.
For attribute, specify the qualified column name of an item in an object.
The oid_clause lets you specify whether the object identifier of the object table should be system generated or should be based on the primary key of the table. The default is SYSTEM GENERATED.
Restrictions on the oid_clause This clause is subject to the following restrictions:
You cannot specify OBJECT IDENTIFIER IS PRIMARY KEY unless you have already specified a PRIMARY KEY constraint for the table.
You cannot specify this clause for a nested table.
Note:
A primary key object identifier is locally unique but not necessarily globally unique. If you require a globally unique identifier, then you must ensure that the primary key is globally unique.This clause is relevant only if you have specified the oid_clause as SYSTEM GENERATED. It specifies an index, and optionally its storage characteristics, on the hidden object identifier column.
For index, specify the name of the index on the hidden system-generated object identifier column. If you omit index, then the database generates a name.
physical_properties and table_properties
The semantics of these clauses are documented in the corresponding sections under relational tables. See physical_properties and table_properties.
Use the XMLType_table syntax to create a table of datatype XMLType. Most of the clauses used to create an XMLType table have the same semantics that exist for object tables. The clauses specific to XMLType tables are described in this section.
Object tables, as well as XMLType tables, object views, and XMLType views, do not have any column names specified for them. Therefore, Oracle defines a system-generated pseudocolumn OBJECT_ID. You can use this column name in queries and to create object views with the WITH OBJECT IDENTIFIER clause.
XMLType_storage
This clause lets you determine how Oracle Database manages the storage of the underlying columns.
OBJECT RELATIONAL Specify OBJECT RELATIONAL if you want the database to store the XMLType data in object relational columns. If you specify OBJECT RELATIONAL, then you must also specify an XMLSchema in the XMLSchema_storage_clause, and you must already have registered the schema using the DBMS_XMLSCHEMA package. Oracle Database will create the table conforming to the registered schema.
CLOB Specify CLOB if you want the database to store the XML data in a CLOB column. If you specify CLOB, then you may also specify either a LOB segment name, or the LOB_parameters clause, or both.
XMLSchema_spec
This clause lets you specify the URL of a registered XMLSchema, either in the XMLSCHEMA clause or as part of the ELEMENT clause, and an XML element name. You must specify an element, although the XMLSchema URL is optional. If you do specify an XMLSchema URL, then you must already have registered the XMLSchema using the DBMS_XMLSCHEMA package.
See Also:
PL/SQL Packages and Types Reference for information on the DBMS_XMLSCHEMA package
Oracle XML DB Developer's Guide for information on creating and working with XML data
General Examples
This statement shows how the employees table owned by the sample human resources (hr) schema was created. A hypothetical name is given to the table and constraints so that you can duplicate this example in your test database:
CREATE TABLE employees_demo
( employee_id NUMBER(6)
, first_name VARCHAR2(20)
, last_name VARCHAR2(25)
CONSTRAINT emp_last_name_nn_demo NOT NULL
, email VARCHAR2(25)
CONSTRAINT emp_email_nn_demo NOT NULL
, phone_number VARCHAR2(20)
, hire_date DATE DEFAULT SYSDATE
CONSTRAINT emp_hire_date_nn_demo NOT NULL
, job_id VARCHAR2(10)
CONSTRAINT emp_job_nn_demo NOT NULL
, salary NUMBER(8,2)
CONSTRAINT emp_salary_nn_demo NOT NULL
, commission_pct NUMBER(2,2)
, manager_id NUMBER(6)
, department_id NUMBER(4)
, dn VARCHAR2(300)
, CONSTRAINT emp_salary_min_demo
CHECK (salary > 0)
, CONSTRAINT emp_email_uk_demo
UNIQUE (email)
) ;
This table contains twelve columns. The employee_id column is of datatype NUMBER. The hire_date column is of datatype DATE and has a default value of SYSDATE. The last_name column is of type VARCHAR2 and has a NOT NULL constraint, and so on.
Storage Example To define the same employees_demo table in the example tablespace with a small storage capacity and limited allocation potential, issue the following statement:
CREATE TABLE employees_demo
( employee_id NUMBER(6)
, first_name VARCHAR2(20)
, last_name VARCHAR2(25)
CONSTRAINT emp_last_name_nn_demo NOT NULL
, email VARCHAR2(25)
CONSTRAINT emp_email_nn_demo NOT NULL
, phone_number VARCHAR2(20)
, hire_date DATE DEFAULT SYSDATE
CONSTRAINT emp_hire_date_nn_demo NOT NULL
, job_id VARCHAR2(10)
CONSTRAINT emp_job_nn_demo NOT NULL
, salary NUMBER(8,2)
CONSTRAINT emp_salary_nn_demo NOT NULL
, commission_pct NUMBER(2,2)
, manager_id NUMBER(6)
, department_id NUMBER(4)
, dn VARCHAR2(300)
, CONSTRAINT emp_salary_min_demo
CHECK (salary > 0)
, CONSTRAINT emp_email_uk_demo
UNIQUE (email)
)
TABLESPACE example
STORAGE (INITIAL 6144
NEXT 6144
MINEXTENTS 1
MAXEXTENTS 5 );
Temporary Table Example The following statement creates a temporary table today_sales for use by sales representatives in the sample database. Each sales representative session can store its own sales data for the day in the table. The temporary data is deleted at the end of the session.
CREATE GLOBAL TEMPORARY TABLE today_sales ON COMMIT PRESERVE ROWS AS SELECT * FROM orders WHERE order_date = SYSDATE;
Substitutable Table and Column Examples The following statement creates a substitutable table from the person_t type, which was created in "Type Hierarchy Example":
CREATE TABLE persons OF person_t;
The following statement creates a table with a substitutable column of type person_t:
CREATE TABLE books (title VARCHAR2(100), author person_t);
When you insert into persons or books, you can specify values for the attributes of person_t or any of its subtypes. Examples of insert statements appear in "Inserting into a Substitutable Tables and Columns: Examples".
You can extract data from such tables using built-in functions and conditions. For examples, see the functions TREAT and SYS_TYPEID, and the "IS OF type Condition" condition.
PARALLEL Example The following statement creates a table using an optimum number of parallel execution servers to scan employees and to populate dept_80:
CREATE TABLE dept_80 PARALLEL AS SELECT * FROM employees WHERE department_id = 80;
Using parallelism speeds up the creation of the table, because the database uses parallel execution servers to create the table. After the table is created, querying the table is also faster, because the same degree of parallelism is used to access the table.
NOPARALLEL Example The following statement creates the same table serially. Subsequent DML and queries on the table will also be serially executed.
CREATE TABLE dept_80 AS SELECT * FROM employees WHERE department_id = 80;
ENABLE VALIDATE Example The following statement shows how the sample table departments was created. The example defines a NOT NULL constraint, and places it in ENABLE VALIDATE state. A hypothetical name is given to the table so that you can duplicate this example in your test database:
CREATE TABLE departments_demo
( department_id NUMBER(4)
, department_name VARCHAR2(30)
CONSTRAINT dept_name_nn NOT NULL
, manager_id NUMBER(6)
, location_id NUMBER(4)
, dn VARCHAR2(300)
) ;
DISABLE Example The following statement creates the same departments_demo table but also defines a disabled primary key constraint:
CREATE TABLE departments_demo
( department_id NUMBER(4) PRIMARY KEY DISABLE
, department_name VARCHAR2(30)
CONSTRAINT dept_name_nn NOT NULL
, manager_id NUMBER(6)
, location_id NUMBER(4)
, dn VARCHAR2(300)
) ;
Nested Table Example The following statement shows how the sample table pm.print_media was created with a nested table column ad_textdocs_ntab:
CREATE TABLE print_media
( product_id NUMBER(6)
, ad_id NUMBER(6)
, ad_composite BLOB
, ad_sourcetext CLOB
, ad_finaltext CLOB
, ad_fltextn NCLOB
, ad_textdocs_ntab textdoc_tab
, ad_photo BLOB
, ad_graphic BFILE
, ad_header adheader_typ
) NESTED TABLE ad_textdocs_ntab STORE AS textdocs_nestedtab;
Multi-level Collection Example The following example shows how an account manager might create a table of customers using two levels of nested tables:
CREATE TYPE phone AS OBJECT (telephone NUMBER); / CREATE TYPE phone_list AS TABLE OF phone; / CREATE TYPE my_customers AS OBJECT ( cust_name VARCHAR2(25), phones phone_list); / CREATE TYPE customer_list AS TABLE OF my_customers; / CREATE TABLE business_contacts ( company_name VARCHAR2(25), company_reps customer_list) NESTED TABLE company_reps STORE AS outer_ntab (NESTED TABLE phones STORE AS inner_ntab);
The following variation of this example shows how to use the COLUMN_VALUE keyword if the inner nested table has no column or attribute name:
CREATE TYPE phone AS TABLE OF NUMBER; / CREATE TYPE phone_list AS TABLE OF phone; / CREATE TABLE my_customers ( name VARCHAR2(25), phone_numbers phone_list) NESTED TABLE phone_numbers STORE AS outer_ntab (NESTED TABLE COLUMN_VALUE STORE AS inner_ntab);
LOB Column Example The following statement is a variation of the statement that created the pm.print_media table with some added LOB storage characteristics:
CREATE TABLE print_media_new
( product_id NUMBER(6)
, ad_id NUMBER(6)
, ad_composite BLOB
, ad_sourcetext CLOB
, ad_finaltext CLOB
, ad_fltextn NCLOB
, ad_textdocs_ntab textdoc_tab
, ad_photo BLOB
, ad_graphic BFILE
, ad_header adheader_typ
, press_release LONG
) NESTED TABLE ad_textdocs_ntab STORE AS textdocs_nestedtab_new
LOB (ad_sourcetext, ad_finaltext) STORE AS
(TABLESPACE example
STORAGE (INITIAL 6144 NEXT 6144)
CHUNK 4000
NOCACHE LOGGING);
In the example, the database rounds the value of CHUNK up to 4096 (the nearest multiple of the block size of 2048).
Index-Organized Table Example The following statement is a variation of the sample table hr.countries, which is index organized:
CREATE TABLE countries_demo
( country_id CHAR(2)
CONSTRAINT country_id_nn_demo NOT NULL
, country_name VARCHAR2(40)
, currency_name VARCHAR2(25)
, currency_symbol VARCHAR2(3)
, region VARCHAR2(15)
, CONSTRAINT country_c_id_pk_demo
PRIMARY KEY (country_id ) )
ORGANIZATION INDEX
INCLUDING country_name
PCTTHRESHOLD 2
STORAGE
( INITIAL 4K
NEXT 2K
PCTINCREASE 0
MINEXTENTS 1
MAXEXTENTS 1 )
OVERFLOW
STORAGE
( INITIAL 4K
NEXT 2K
PCTINCREASE 0
MINEXTENTS 1
MAXEXTENTS 1 );
External Table Example The following statement creates an external table that represents a subset of the sample table hr.departments. The opaque_format_spec is shown in italics. Please refer to Oracle Database Utilities for information on the ORACLE_LOADER access driver and how to specify values for the opaque_format_spec.
CREATE TABLE dept_external ( deptno NUMBER(6), dname VARCHAR2(20), loc VARCHAR2(25) ) ORGANIZATION EXTERNAL (TYPE oracle_loader DEFAULT DIRECTORY admin ACCESS PARAMETERS ( RECORDS DELIMITED BY newline BADFILE 'ulcase1.bad' DISCARDFILE 'ulcase1.dis' LOGFILE 'ulcase1.log' SKIP 20 FIELDS TERMINATED BY "," OPTIONALLY ENCLOSED BY '"' ( deptno INTEGER EXTERNAL(6), dname CHAR(20), loc CHAR(25) ) ) LOCATION ('ulcase1.ctl') ) REJECT LIMIT UNLIMITED;
This section contains brief examples of creating an XMLType table or XMLType column. For a more expanded version of these examples, please refer to "Using XML in SQL Statements".
XMLType Table Examples The following example creates a very simple XMLType table with one implicit CLOB column:
CREATE TABLE xwarehouses OF XMLTYPE;
Because Oracle Database implicitly stores the data in a CLOB column, it is subject to all of the restrictions on LOB columns. To avoid these restrictions, you can create an XMLSchema-based table, as shown in the following example. The XMLSchema must already have been created (see "Using XML in SQL Statements" for more information):
CREATE TABLE xwarehouses OF XMLTYPE XMLSCHEMA "http://www.oracle.com/xwarehouses.xsd" ELEMENT "Warehouse";
You can define constraints on an XMLSchema-based table, and you can also create indexes on XMLSchema-based tables, which greatly enhance subsequent queries. You can create object-relational views on XMLType tables, and you can create XMLType views on object-relational tables.
See Also:
"Using XML in SQL Statements" for an example of adding a constraint
"Creating an Index on an XMLType Table: Example" for an example of creating an index
"Creating an XMLType View: Example" for an example of creating an XMLType view
XMLType Column Examples The following example creates a table with an XMLType column stored as a CLOB. This table does not require an XMLSchema, so the content structure is not predetermined:
CREATE TABLE xwarehouses (
warehouse_id NUMBER,
warehouse_spec XMLTYPE)
XMLTYPE warehouse_spec STORE AS CLOB
(TABLESPACE example
STORAGE (INITIAL 6144 NEXT 6144)
CHUNK 4000
NOCACHE LOGGING);
The following example creates a similar table, but stores XMLType data in an object relational XMLType column whose structure is determined by the specified schema:
CREATE TABLE xwarehouses (
warehouse_id NUMBER,
warehouse_spec XMLTYPE)
XMLTYPE warehouse_spec STORE AS OBJECT RELATIONAL
XMLSCHEMA "http://www.oracle.com/xwarehouses.xsd"
ELEMENT "Warehouse";
Partitioning Examples
Range Partitioning Example The sales table in the sample schema sh is partitioned by range. The following example shows an abbreviated variation of the sales table. Constraints and storage elements have been omitted from the example.
CREATE TABLE range_sales
( prod_id NUMBER(6)
, cust_id NUMBER
, time_id DATE
, channel_id CHAR(1)
, promo_id NUMBER(6)
, quantity_sold NUMBER(3)
, amount_sold NUMBER(10,2)
)
PARTITION BY RANGE (time_id)
(PARTITION SALES_Q1_1998 VALUES LESS THAN (TO_DATE('01-APR-1998','DD-MON-YYYY')),
PARTITION SALES_Q2_1998 VALUES LESS THAN (TO_DATE('01-JUL-1998','DD-MON-YYYY')),
PARTITION SALES_Q3_1998 VALUES LESS THAN (TO_DATE('01-OCT-1998','DD-MON-YYYY')),
PARTITION SALES_Q4_1998 VALUES LESS THAN (TO_DATE('01-JAN-1999','DD-MON-YYYY')),
PARTITION SALES_Q1_1999 VALUES LESS THAN (TO_DATE('01-APR-1999','DD-MON-YYYY')),
PARTITION SALES_Q2_1999 VALUES LESS THAN (TO_DATE('01-JUL-1999','DD-MON-YYYY')),
PARTITION SALES_Q3_1999 VALUES LESS THAN (TO_DATE('01-OCT-1999','DD-MON-YYYY')),
PARTITION SALES_Q4_1999 VALUES LESS THAN (TO_DATE('01-JAN-2000','DD-MON-YYYY')),
PARTITION SALES_Q1_2000 VALUES LESS THAN (TO_DATE('01-APR-2000','DD-MON-YYYY')),
PARTITION SALES_Q2_2000 VALUES LESS THAN (TO_DATE('01-JUL-2000','DD-MON-YYYY')),
PARTITION SALES_Q3_2000 VALUES LESS THAN (TO_DATE('01-OCT-2000','DD-MON-YYYY')),
PARTITION SALES_Q4_2000 VALUES LESS THAN (MAXVALUE))
;
For information about partitioned table maintenance operations, see Oracle Database Administrator's Guide.
List Partitioning Example The following statement shows how the sample table oe.customers might have been created as a list-partitioned table. Some columns and all constraints of the sample table have been omitted in this example.
CREATE TABLE list_customers
( customer_id NUMBER(6)
, cust_first_name VARCHAR2(20)
, cust_last_name VARCHAR2(20)
, cust_address CUST_ADDRESS_TYP
, nls_territory VARCHAR2(30)
, cust_email VARCHAR2(30))
PARTITION BY LIST (nls_territory) (
PARTITION asia VALUES ('CHINA', 'THAILAND'),
PARTITION europe VALUES ('GERMANY', 'ITALY', 'SWITZERLAND'),
PARTITION west VALUES ('AMERICA'),
PARTITION east VALUES ('INDIA'),
PARTITION rest VALUES (DEFAULT));
Partitioned Table with LOB Columns Example This statement creates a partitioned table print_media_demo with two partitions p1 and p2, and a number of LOB columns. The statement uses the sample table pm.print_media, but the LONG column press_release is omitted because LONG columns are not supported in partitioning.
CREATE TABLE print_media_demo
( product_id NUMBER(6)
, ad_id NUMBER(6)
, ad_composite BLOB
, ad_sourcetext CLOB
, ad_finaltext CLOB
, ad_fltextn NCLOB
, ad_textdocs_ntab textdoc_tab
, ad_photo BLOB
, ad_graphic BFILE
, ad_header adheader_typ
) NESTED TABLE ad_textdocs_ntab STORE AS textdocs_nestedtab_demo
LOB (ad_composite, ad_photo, ad_finaltext)
STORE AS(STORAGE (NEXT 20M))
PARTITION BY RANGE (product_id)
(PARTITION p1 VALUES LESS THAN (3000) TABLESPACE tbs_01
LOB (ad_composite, ad_photo)
STORE AS (TABLESPACE tbs_02 STORAGE (INITIAL 10M)),
PARTITION P2 VALUES LESS THAN (MAXVALUE)
LOB (ad_composite, ad_finaltext)
STORE AS (TABLESPACE tbs_03)
)
TABLESPACE tbs_04;
Partition p1 will be in tablespace tbs_1. The LOB data partitions for ad_composite and ad_photo will be in tablespace tbs_2. The LOB data partition for the remaining LOB columns will be in tablespace tbs_1. The storage attribute INITIAL is specified for LOB columns ad_composite and ad_photo. Other attributes will be inherited from the default table-level specification. The default LOB storage attributes not specified at the table level will be inherited from the tablespace tbs_2 for columns ad_composite and ad_photo and from tablespace tbs_1 for the remaining LOB columns. LOB index partitions will be in the same tablespaces as the corresponding LOB data partitions. Other storage attributes will be based on values of the corresponding attributes of the LOB data partitions and default attributes of the tablespace where the index partitions reside.
Partition p2 will be in the default tablespace tbs_4. The LOB data for ad_composite and ad_finaltext will be in tablespace tbs_3. The LOB data for the remaining LOB columns will be in tablespace tbs_4. The LOB index for columns ad_composite and ad_finaltext will be in tablespace tbs_3. The LOB index for the remaining LOB columns will be in tablespace tbs_4.
Hash Partitioning Example The sample table oe.product_information is not partitioned. However, you might want to partition such a large table by hash for performance reasons, as shown in this example. The tablespace names are hypothetical in this example.
CREATE TABLE hash_products
( product_id NUMBER(6)
, product_name VARCHAR2(50)
, product_description VARCHAR2(2000)
, category_id NUMBER(2)
, weight_class NUMBER(1)
, warranty_period INTERVAL YEAR TO MONTH
, supplier_id NUMBER(6)
, product_status VARCHAR2(20)
, list_price NUMBER(8,2)
, min_price NUMBER(8,2)
, catalog_url VARCHAR2(50)
, CONSTRAINT product_status_lov_demo
CHECK (product_status in ('orderable'
,'planned'
,'under development'
,'obsolete')
) )
PARTITION BY HASH (product_id)
PARTITIONS 5
STORE IN (tbs_01, tbs_02, tbs_03, tbs_04);
Composite-Partitioned Table Examples The table created in the "Range Partitioning Example" divides data by time of sale. If you plan to access recent data according to distribution channel as well as time, then composite partitioning might be more appropriate. The following example creates a copy of that range_sales table but specifies range-hash composite partitioning. The partitions with the most recent data are subpartitioned with both system-generated and user-defined subpartition names. Constraints and storage attributes have been omitted from the example.
CREATE TABLE composite_sales
( prod_id NUMBER(6)
, cust_id NUMBER
, time_id DATE
, channel_id CHAR(1)
, promo_id NUMBER(6)
, quantity_sold NUMBER(3)
, amount_sold NUMBER(10,2)
)
PARTITION BY RANGE (time_id)
SUBPARTITION BY HASH (channel_id)
(PARTITION SALES_Q1_1998 VALUES LESS THAN (TO_DATE('01-APR-1998','DD-MON-YYYY')),
PARTITION SALES_Q2_1998 VALUES LESS THAN (TO_DATE('01-JUL-1998','DD-MON-YYYY')),
PARTITION SALES_Q3_1998 VALUES LESS THAN (TO_DATE('01-OCT-1998','DD-MON-YYYY')),
PARTITION SALES_Q4_1998 VALUES LESS THAN (TO_DATE('01-JAN-1999','DD-MON-YYYY')),
PARTITION SALES_Q1_1999 VALUES LESS THAN (TO_DATE('01-APR-1999','DD-MON-YYYY')),
PARTITION SALES_Q2_1999 VALUES LESS THAN (TO_DATE('01-JUL-1999','DD-MON-YYYY')),
PARTITION SALES_Q3_1999 VALUES LESS THAN (TO_DATE('01-OCT-1999','DD-MON-YYYY')),
PARTITION SALES_Q4_1999 VALUES LESS THAN (TO_DATE('01-JAN-2000','DD-MON-YYYY')),
PARTITION SALES_Q1_2000 VALUES LESS THAN (TO_DATE('01-APR-2000','DD-MON-YYYY')),
PARTITION SALES_Q2_2000 VALUES LESS THAN (TO_DATE('01-JUL-2000','DD-MON-YYYY'))
SUBPARTITIONS 8,
PARTITION SALES_Q3_2000 VALUES LESS THAN (TO_DATE('01-OCT-2000','DD-MON-YYYY'))
(SUBPARTITION ch_c,
SUBPARTITION ch_i,
SUBPARTITION ch_p,
SUBPARTITION ch_s,
SUBPARTITION ch_t),
PARTITION SALES_Q4_2000 VALUES LESS THAN (MAXVALUE)
SUBPARTITIONS 4)
;
The following examples creates a partitioned table of customers based on the sample table oe.customers. In this example, the table is partitioned on the credit_limit column and list subpartitioned on the nls_territory column. The subpartition template determines the subpartitioning of any subsequently added partitions, unless you override the template by defining individual subpartitions. This composite partitioning makes it possible to query the table based on a credit limit range within a specified region:
CREATE TABLE customers_part (
customer_id NUMBER(6),
cust_first_name VARCHAR2(20),
cust_last_name VARCHAR2(20),
nls_territory VARCHAR2(30),
credit_limit NUMBER(9,2))
PARTITION BY RANGE (credit_limit)
SUBPARTITION BY LIST (nls_territory)
SUBPARTITION TEMPLATE
(SUBPARTITION east VALUES
('CHINA', 'JAPAN', 'INDIA', 'THAILAND'),
SUBPARTITION west VALUES
('AMERICA', 'GERMANY', 'ITALY', 'SWITZERLAND'),
SUBPARTITION other VALUES (DEFAULT))
(PARTITION p1 VALUES LESS THAN (1000),
PARTITION p2 VALUES LESS THAN (2500),
PARTITION p3 VALUES LESS THAN (MAXVALUE));
Object Column and Table Examples
Creating Object Tables: Examples Consider object type department_typ:
CREATE TYPE department_typ AS OBJECT
( d_name VARCHAR2(100),
d_address VARCHAR2(200) );
/
Object table departments_obj_t holds department objects of type department_typ:
CREATE TABLE departments_obj_t OF department_typ;
The following statement creates object table salesreps with a user-defined object type, salesrep_typ:
CREATE OR REPLACE TYPE salesrep_typ AS OBJECT
( repId NUMBER,
repName VARCHAR2(64));
CREATE TABLE salesreps OF salesrep_typ;
Creating a Table with a User-Defined Object Identifier: Example This example creates an object type and a corresponding object table whose object identifier is primary key based:
CREATE TYPE employees_typ AS OBJECT (e_no NUMBER, e_address CHAR(30)); / CREATE TABLE employees_obj_t OF employees_typ (e_no PRIMARY KEY) OBJECT IDENTIFIER IS PRIMARY KEY;
You can subsequently reference the employees_object_t object table using either inline_ref_constraint or out_of_line_ref_constraint syntax
CREATE TABLE departments_t
(d_no NUMBER,
mgr_ref REF employees_typ SCOPE IS employees_obj_t);
CREATE TABLE departments_t (
d_no NUMBER,
mgr_ref REF employees_typ
CONSTRAINT mgr_in_emp REFERENCES employees_obj_t);
Specifying Constraints on Type Columns: Example The following example shows how to define constraints on attributes of an object type column:
CREATE TYPE address_t AS OBJECT
( hno NUMBER,
street VARCHAR2(40),
city VARCHAR2(20),
zip VARCHAR2(5),
phone VARCHAR2(10) );
/
CREATE TYPE person AS OBJECT
( name VARCHAR2(40),
dateofbirth DATE,
homeaddress address_t,
manager REF person );
/
CREATE TABLE persons OF person
( homeaddress NOT NULL,
UNIQUE (homeaddress.phone),
CHECK (homeaddress.zip IS NOT NULL),
CHECK (homeaddress.city <> 'San Francisco') );