| Oracle® Database SQL Reference 10g Release 2 (10.2) Part Number B14200-02 |
|
|
View PDF |
Purpose
Use the ALTER SYSTEM statement to dynamically alter your Oracle Database instance. The settings stay in effect as long as the database is mounted.
Prerequisites
You must have ALTER SYSTEM system privilege.
Syntax
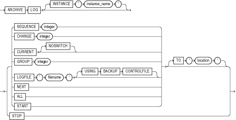
alter_system::=

(archive_log_clause ::=, checkpoint_clause::=, check_datafiles_clause::=, distributed_recov_clauses::=, end_session_clauses::=, quiesce_clauses::=, alter_system_security_clauses::=, shutdown_dispatcher_clause::=, alter_system_set_clause::=, alter_system_reset_clause::=)






alter_system_security_clauses::=



Semantics
The archive_log_clause manually archives redo log files or enables or disables automatic archiving. To use this clause, your instance must have the database mounted. The database can be either open or closed unless otherwise noted.
INSTANCE Clause
This clause is relevant only if you are using Oracle Database with the Real Application Clusters option. Specify the name of the instance for which you want the redo log file group to be archived. The instance name is a string of up to 80 characters. Oracle Database automatically determines the thread that is mapped to the specified instance and archives the corresponding redo log file group. If no thread is mapped to the specified instance, then Oracle Database returns an error.
In earlier releases, you could identify the redo log file group to be archived by thread as well as instance. That syntax is now supported for backward compatibility only. The INSTANCE clause achieves the same purpose and is easier to use.
Specify SEQUENCE to manually archive the online redo log file group identified by the log sequence number integer in the specified thread. If you omit the THREAD parameter, then Oracle Database archives the specified group from the thread assigned to your instance.
Specify CHANGE to manually archive the online redo log file group containing the redo log entry with the system change number (SCN) specified by integer in the specified thread. If the SCN is in the current redo log file group, then Oracle Database performs a log switch. If you omit the THREAD parameter, then Oracle Database archives the groups containing this SCN from all enabled threads.
You can use this clause only when your instance has the database open.
Specify CURRENT to manually archive the current redo log file group of the specified thread, forcing a log switch. If you omit the THREAD parameter, then Oracle Database archives all redo log file groups from all enabled threads, including logs previous to current logs. You can specify CURRENT only when the database is open.
NOSWITCH Specify NOSWITCH if you want to manually archive the current redo log file group without forcing a log switch. This setting is used primarily with standby databases to prevent data divergence when the primary database shuts down. Divergence implies the possibility of data loss in case of primary database failure.
You can use the NOSWITCH clause only when your instance has the database mounted but not open. If the database is open, then this operation closes the database automatically. You must then manually shut down the database before you can reopen it.
Specify GROUP to manually archive the online redo log file group with the GROUP value specified by integer. You can determine the GROUP value for a redo log file group by querying the data dictionary view DBA_LOG_GROUPS. If you specify both the THREAD and GROUP parameters, then the specified redo log file group must be in the specified thread.
LOGFILE Clause
Specify LOGFILE to manually archive the online redo log file group containing the redo log file member identified by 'filename'. If you specify both the THREAD and LOGFILE parameters, then the specified redo log file group must be in the specified thread.
If the database was mounted with a backup controlfile, then specify USING BACKUP CONTROLFILE to permit archiving of all online logfiles, including the current logfile.
Restriction on the LOGFILE clause You must archive redo log file groups in the order in which they are filled. If you specify a redo log file group for archiving with the LOGFILE parameter, and earlier redo log file groups are not yet archived, then Oracle Database returns an error.
Specify NEXT to manually archive the next online redo log file group from the specified thread that is full but has not yet been archived. If you omit the THREAD parameter, then Oracle Database archives the earliest unarchived redo log file group from any enabled thread.
Specify ALL to manually archive all online redo log file groups from the specified thread that are full but have not been archived. If you omit the THREAD parameter, then Oracle Database archives all full unarchived redo log file groups from all enabled threads.
In earlier releases, this clause enabled automatic archiving of redo log file groups for the thread assigned to your instance. This clause has been deprecated, because Oracle Database automatically enables automatic archiving of redo log file groups. This clause has no effect. If you specify it, Oracle Database writes a message to the alert log.
Specify TO 'location' to indicate the primary location to which the redo log file groups are archived. The value of this parameter must be a fully specified file location following the conventions of your operating system. If you omit this parameter, then Oracle Database archives the redo log file group to the location specified by the initialization parameters LOG_ARCHIVE_DEST or LOG_ARCHIVE_DEST_n.
In earlier releases, this clause disabled automatic archiving of redo log file groups for the thread assigned to your instance. This clause has been deprecated. It has no effect, and if you specify it, Oracle Database writes a message to the alert log.
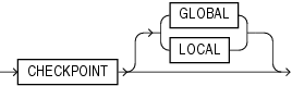
Specify CHECKPOINT to explicitly force Oracle Database to perform a checkpoint, ensuring that all changes made by committed transactions are written to datafiles on disk. You can specify this clause only when your instance has the database open. Oracle Database does not return control to you until the checkpoint is complete.
GLOBAL In a Real Application Clusters environment, this setting causes Oracle Database to perform a checkpoint for all instances that have opened the database. This is the default.
LOCAL In a Real Application Clusters environment, this setting causes Oracle Database to perform a checkpoint only for the thread of redo log file groups for the instance from which you issue the statement.
See Also:
"Forcing a Checkpoint: Example"In a distributed database system, such as a Real Application Clusters environment, this clause updates an instance's SGA from the database control file to reflect information on all online datafiles.
Specify GLOBAL to perform this synchronization for all instances that have opened the database. This is the default.
Specify LOCAL to perform this synchronization only for the local instance.
Your instance should have the database open.
end_session_clauses
The end_session_clauses give you several ways to end the current session.
Use the DISCONNECT SESSION clause to disconnect the current session by destroying the dedicated server process (or virtual circuit if the connection was made by way of a Shared Sever). To use this clause, your instance must have the database open. You must identify the session with both of the following values from the V$SESSION view:
For integer1, specify the value of the SID column.
For integer2, specify the value of the SERIAL# column.
If system parameters are appropriately configured, then application failover will take effect.
The POST_TRANSACTION setting allows ongoing transactions to complete before the session is disconnected. If the session has no ongoing transactions, then this clause has the same effect described for as KILL SESSION.
The IMMEDIATE setting disconnects the session and recovers the entire session state immediately, without waiting for ongoing transactions to complete.
If you also specify POST_TRANSACTION and the session has ongoing transactions, then the IMMEDIATE keyword is ignored.
If you do not specify POST_TRANSACTION, or you specify POST_TRANSACTION but the session has no ongoing transactions, then this clause has the same effect as described for KILL SESSION IMMEDIATE.
See Also:
"Disconnecting a Session: Example"The KILL SESSION clause lets you mark a session as terminated, roll back ongoing transactions, release all session locks, and partially recover session resources. To use this clause, your instance must have the database open, and your session and the session to be terminated must be on the same instance. You must identify the session with both of the following values from the V$SESSION view:
For integer1, specify the value of the SID column.
For integer2, specify the value of the SERIAL# column.
If the session is performing some activity that must be completed, such as waiting for a reply from a remote database or rolling back a transaction, then Oracle Database waits for this activity to complete, marks the session as terminated, and then returns control to you. If the waiting lasts a minute, then Oracle Database marks the session to be terminated and returns control to you with a message that the session is marked to be terminated. The PMON background process then marks the session as terminated when the activity is complete.
Whether or not the session has an ongoing transaction, Oracle Database does not recover the entire session state until the session user issues a request to the session and receives a message that the session has been terminated.
See Also:
"Terminating a Session: Example"IMMEDIATE Specify IMMEDIATE to instruct Oracle Database to roll back ongoing transactions, release all session locks, recover the entire session state, and return control to you immediately.
The DISTRIBUTED RECOVERY clause lets you enable or disable distributed recovery. To use this clause, your instance must have the database open.
ENABLE Specify ENABLE to enable distributed recovery. In a single-process environment, you must use this clause to initiate distributed recovery.
You may need to issue the ENABLE DISTRIBUTED RECOVERY statement more than once to recover an in-doubt transaction if the remote node involved in the transaction is not accessible. In-doubt transactions appear in the data dictionary view DBA_2PC_PENDING.
See Also:
"Enabling Distributed Recovery: Example"DISABLE Specify DISABLE to disable distributed recovery.
The FLUSH SHARED POOL clause lets you clear all data from the shared pool in the system global area (SGA). The shared pool stores
Cached data dictionary information and
Shared SQL and PL/SQL areas for SQL statements, stored procedures, function, packages, and triggers.
This statement does not clear shared SQL and PL/SQL areas for items that are currently being executed. You can use this clause regardless of whether your instance has the database dismounted or mounted, open or closed.
See Also:
"Clearing the Shared Pool: Example"The FLUSH BUFFER_CACHE clause lets you clear all data from the buffer cache in the system global area (SGA).
Caution:
This clause is intended for use only on a test database. Do not use this clause on a production database, because as a result of this statement, subsequent queries will have no hits, only misses.This clause is useful if you need to measure the performance of rewritten queries or a suite of queries from identical starting points.
The SWITCH LOGFILE clause lets you explicitly force Oracle Database to begin writing to a new redo log file group, regardless of whether the files in the current redo log file group are full. When you force a log switch, Oracle Database begins to perform a checkpoint but returns control to you immediately rather than when the checkpoint is complete. To use this clause, your instance must have the database open.
See Also:
"Forcing a Log Switch: Example"The SUSPEND clause lets you suspend all I/O (datafile, control file, and file header) as well as queries, in all instances, enabling you to make copies of the database without having to handle ongoing transactions.
Restrictions on SUSPEND and RESUME SUSPEND and RESUME are subject to the following restrictions:
Do not use this clause unless you have put the database tablespaces in hot backup mode.
Do not terminate the session that issued the ALTER SYSTEM SUSPEND statement. An attempt to reconnect while the system is suspended may fail because of recursive SQL that is running during the SYS login.
If you start a new instance while the system is suspended, then that new instance will not be suspended.
The RESUME clause lets you make the database available once again for queries and I/O.
Use the QUIESCE RESTRICTED and UNQUIESCE clauses to put the database in and take it out of the quiesced state. This state enables database administrators to perform administrative operations that cannot be safely performed in the presence of concurrent transactions, queries, or PL/SQL operations.
Note:
TheQUIESCE RESTRICTED clause is valid only if the Database Resource Manager is installed and only if the Resource Manager has been on continuously since database startup in any instances that have opened the database.If multiple QUIESCE RESTRICTED or UNQUIESCE statements issue at the same time from different sessions or instances, then all but one will receive an error.
QUIESCE RESTRICTED
Specify QUIESCE RESTRICTED to put the database in the quiesced state. For all instances with the database open, this clause has the following effect:
Oracle Database instructs the Database Resource Manager in all instances to prevent all inactive sessions (other than SYS and SYSTEM) from becoming active. No user other than SYS and SYSTEM can start a new transaction, a new query, a new fetch, or a new PL/SQL operation.
Oracle Database waits for all existing transactions in all instances that were initiated by a user other than SYS or SYSTEM to finish (either commit or abort). Oracle Database also waits for all running queries, fetches, and PL/SQL procedures in all instances that were initiated by users other than SYS or SYSTEM and that are not inside transactions to finish. If a query is carried out by multiple successive OCI fetches, then Oracle Database does not wait for all fetches to finish. It waits for the current fetch to finish and then blocks the next fetch. Oracle Database also waits for all sessions (other than those of SYS or SYSTEM) that hold any shared resources (such as enqueues) to release those resources. After all these operations finish, Oracle Database places the database into quiesced state and finishes executing the QUIESCE RESTRICTED statement.
If an instance is running in shared server mode, then Oracle Database instructs the Database Resource Manager to block logins (other than SYS or SYSTEM) on that instance. If an instance is running in non-shared-server mode, then Oracle Database does not impose any restrictions on user logins in that instance.
During the quiesced state, you cannot change the Resource Manager plan in any instance.
UNQUIESCE
Specify UNQUIESCE to take the database out of quiesced state. Doing so permits transactions, queries, fetches, and PL/SQL procedures that were initiated by users other than SYS or SYSTEM to be undertaken once again. The UNQUIESCE statement does not have to originate in the same session that issued the QUIESCE RESTRICTED statement.
The alter_system_security_clauses let you control access to the instance.
The RESTRICTED SESSION clause lets you restrict logon to Oracle Database. You can use this clause regardless of whether your instance has the database dismounted or mounted, open or closed.
Specify ENABLE to allow only users with RESTRICTED SESSION system privilege to log on to Oracle Database. Existing sessions are not terminated.
This clause applies only to the current instance. Therefore, in a Real Application Clusters environment, authorized users without the RESTRICTED SESSION system privilege can still access the database by way of other instances.
Specify DISABLE to reverse the effect of the ENABLE RESTRICTED SESSION clause, allowing all users with CREATE SESSION system privilege to log on to Oracle Database. This is the default.
See Also:
"Restricting Sessions: Example"Use this clause to manage database access to information in the server wallet. Although this statement begins with the keyword ALTER, an ALTER SYSTEM SET ENCRYPTION WALLET statement is not a DDL clause. However, you cannot roll back such a statement.
OPEN When you specify this clause, the database uses the specified password to load information from the server wallet into memory for database access for the duration of the instance. This clause lets the database retrieve keys from the server wallet without an SSO wallet. If the server wallet is not available or is already open, the database returns an error.
CLOSE Use this clause to remove the server wallet information from memory.
Use this clause to generate a new encryption key and to set it as the current transparent data encryption master key. This clause also loads information from the server wallet into memory for database access. The certificate_id is the integer that identifies the certificate. It is not required if you are using basic keys, but it is required if you are using PKI-based keys. You can find this value by querying the CERT_ID column of the V$WALLET dynamic performance view. For password, specify the password used to connect to the security module. If you specify an invalid certificate_id or password, then the database returns an error.
An ALTER SYSTEM SET KEY statement is a DDL statement and will automatically commit any pending transactions in the schema.
You must set both an encryption wallet and an encryption key to use the transparent data encryption feature.
See Also:
Oracle Advanced Security Administrator's Guide for more information on using the server wallet and encryption keys and on transparent data encryption
the description of the CREATE TABLE "ENCRYPT encryption_spec " for information on using that feature to encrypt table columns
The SHUTDOWN clause is relevant only if your system is using the shared server architecture of Oracle Database. It shuts down a dispatcher identified by dispatcher_name.
Note:
Do not confuse this clause with the SQL*Plus commandSHUTDOWN, which is used to shut down the entire database.The dispatcher_name must be a string of the form 'Dxxx', where xxx indicates the number of the dispatcher. For a listing of dispatcher names, query the NAME column of the V$DISPATCHER dynamic performance view.
If you specify IMMEDIATE, then the dispatcher stops accepting new connections immediately and Oracle Database terminates all existing connections through that dispatcher. After all sessions are cleaned up, the dispatcher process shuts down.
If you do not specify IMMEDIATE, then the dispatcher stops accepting new connections immediately but waits for all its users to disconnect and for all its database links to terminate. Then it shuts down.
Specify REGISTER to instruct the PMON background process to register the instance with the listeners immediately. If you do not specify this clause, then registration of the instance does not occur until the next time PMON executes the discovery routine. As a result, clients may not be able to access the services for as long as 60 seconds after the listener is started.
See Also:
Oracle Database Concepts and Oracle Net Services Administrator's Guide for information on thePMON background process and listenersThe alter_system_set_clause lets you set or reset the value of any initialization parameter. The parameters are described in "Initialization Parameters and ALTER SYSTEM".
The ability to change initialization parameter values depends on whether you have started up the database with a traditional client-side initialization parameter file (pfile) or with a server parameter file (spfile). To determine whether you can change the value of a particular parameter, query the ISSYS_MODIFIABLE column of the V$PARAMETER dynamic performance view.
When setting a parameter value, you can specify additional settings as follows:
COMMENT
The COMMENT clause lets you associate a comment string with this change in the value of the parameter. If you also specify SPFILE, then this comment will appear in the parameter file to indicate the most recent change made to this parameter.
DEFERRED
The DEFERRED keyword sets or modifies the value of the parameter for future sessions that connect to the database. Current sessions retain the old value.
You must specify DEFERRED if the value of the ISSYS_MODIFIABLE column of V$PARAMETER for this parameter is DEFERRED. If the value of that column is IMMEDIATE, then the DEFERRED keyword in this clause is optional. If the value of that column is FALSE, then you cannot specify DEFERRED in this ALTER SYSTEM statement.
SCOPE
The SCOPE clause lets you specify when the change takes effect. Scope depends on whether you started up the database using a client-side parameter file (pfile) or server parameter file (spfile).
MEMORY MEMORY indicates that the change is made in memory, takes effect immediately, and persists until the database is shut down. If you started up the database using a parameter file (pfile), then this is the only scope you can specify.
SPFILE SPFILE indicates that the change is made in the server parameter file. The new setting takes effect when the database is next shut down and started up again. You must specify SPFILE when changing the value of a static parameter that is described as not modifiable in Oracle Database Reference.
BOTH BOTH indicates that the change is made in memory and in the server parameter file. The new setting takes effect immediately and persists after the database is shut down and started up again.
If a server parameter file was used to start up the database, then BOTH is the default. If a parameter file was used to start up the database, then MEMORY is the default, as well as the only scope you can specify.
SID
The SID clause is relevant only in a Real Application Clusters environment. This clause lets you specify the SID of the instance where the value will take effect.
Specify SID = '*' if you want Oracle Database to change the value of the parameter for all instances.
Specify SID = 'sid' if you want Oracle Database to change the value of the parameter only for the instance sid. This setting takes precedence over previous and subsequent ALTER SYSTEM SET statements that specify SID = '*'.
If you do not specify this clause:
If the instance was started up with a pfile (client-side initialization parameter file), then Oracle Database assumes the SID of the current instance.
If the instance was started up with an spfile (server parameter file), then Oracle Database assumes SID = '*'.
If you specify an instance other than the current instance, then Oracle Database sends a message to that instance to change the parameter value in the memory of that instance.
alter_system_reset_clause
In a Real Application Clusters (RAC) environment, the alter_system_reset_clause gives you separate control for an individual instance over parameters that may have been set for all instances in a server parameter file. The SCOPE clause has the same behavior as described for the alter_system_set_clause.
SID Specify the SID clause to remove a previously specified setting of this parameter for your instance--that is, a previous ALTER SYSTEM SET ... SID = 'sid' statement. (In a non-RAC environment, you can specify SID = '*' for this clause.) Your instance will assume the value of the parameter as specified in a previous or subsequent ALTER SYSTEM SET ... SID = '*' statement.
See Also:
Oracle Real Application Clusters Administrator's Guide for information on setting parameter values for an individual instance in a Real Application Clusters environmentYou can change the value of many initialization parameters for the current instance, whether you have started the database with a traditional client-side parameter file (pfile) or with a server parameter file (spfile). Oracle Database Reference indicates these parameters in the "Modifiable" category of each parameter description. If you are using a pfile, then the change will persist only for the duration of the instance. However, if you have started the database with an spfile, then you can change the value of the parameter in the spfile itself, so that the new value will occur in subsequent instances.
Three lists follow:
The first is a list of basic parameters. Database administrators should be familiar with and consider the setting for all of the basic parameters.
The second list shows the initialization parameters by their functional category.
The third list includes all initialization parameters in alphabetical order.
For a description of these parameters, please refer to Oracle Database Reference.
See Also:
the following examples of using theALTER SYSTEM statement: "Changing Licensing Parameters: Examples", "Enabling Query Rewrite: Example", "Enabling Resource Limits: Example", "Shared Server Parameters ", and "Changing Shared Server Settings: Examples"Basic Parameters
CLUSTER_DATABASECOMPATIBLECONTROL_FILESDB_BLOCK_SIZEDB_CREATE_FILE_DESTDB_CREATE_ONLINE_LOG_DEST_nDB_DOMAINDB_NAMEDB_RECOVERY_FILE_DESTDB_RECOVERY_FILE_DEST_SIZEDB_UNIQUE_NAMEINSTANCE_NUMBERJOB_QUEUE_PROCESSESLOG_ARCHIVE_DEST_nLOG_ARCHIVE_DEST_STATE_nNLS_LANGUAGENLS_TERRITORYOPEN_CURSORSPGA_AGGREGATE_TARGETPROCESSESREMOTE_LISTENERREMOTE_LOGIN_PASSWORDFILEROLLBACK_SEGMENTSSESSIONSSGA_TARGETSHARED_SERVERSSTAR_TRANSFORMATION_ENABLEDUNDO_MANAGEMENTUNDO_TABLESPACE
Parameters by Functional Category
ANSI Compliance
Backup and Restore
BFILEs
Buffer Cache and I/O
Cursors and Library Cache
Database/Instance Identification
Diagnostics and Statistics
Distributed, Replication
File Locations, Names, and Sizes
Globalization
Java
Job Queues
License Limits
Memory
Miscellaneous
Networking
Objects and LOBs
OLAP
Optimizer
Parallel Execution
PL/SQL
PL/SQL Compiler
PLSQL_CC_FLAGSPLSQL_CODE_TYPEPLSQL_DEBUGPLSQL_OPTIMIZE_LEVELPLSQL_WARNINGSNLS_LENGTH_SEMANTICSSGA Memory
Real Application Clusters
Redo Logs, Archiving, and Recovery
CONTROL_FILE_RECORD_KEEP_TIMEDB_CREATE_ONLINE_LOG_DEST_nDB_RECOVERY_FILE_DESTDB_RECOVERY_FILE_DEST_SIZEFAST_START_MTTR_TARGETLOG_BUFFERLOG_CHECKPOINT_INTERVALLOG_CHECKPOINT_TIMEOUTLOG_CHECKPOINTS_TO_ALERTLOG_ARCHIVE_CONFIGLOG_ARCHIVE_DEST_nLOG_ARCHIVE_DEST_STATE_nLOG_ARCHIVE_DUPLEX_DESTLOG_ARCHIVE_FORMATLOG_ARCHIVE_MAX_PROCESSESLOG_ARCHIVE_MIN_SUCCEED_DESTLOG_ARCHIVE_TRACERECOVERY_PARALLELISMResource Manager
Security and Auditing
Sessions and Processes
Shared Server Architecture
Standby Database
Temporary Sort Space
Transactions
Undo Management
All Parameters in Alphabetical Order
ACTIVE_INSTANCE_COUNTAQ_TM_PROCESSESARCHIVE_LAG_TARGETASM_DISKGROUPSASM_DISKSTRINGASM_POWER_LIMITAUDIT_FILE_DESTAUDIT_SYS_OPERATIONSAUDIT_SYSLOG_LEVELAUDIT_TRAILBACKGROUND_CORE_DUMPBACKGROUND_DUMP_DESTBACKUP_TAPE_IO_SLAVESBITMAP_MERGE_AREA_SIZEBLANK_TRIMMINGCIRCUITSCLUSTER_DATABASECLUSTER_DATABASE_INSTANCESCLUSTER_INTERCONNECTSCOMMIT_POINT_STRENGTHCOMMIT_WRITECOMPATIBLECONTROL_FILE_RECORD_KEEP_TIMECONTROL_FILESCORE_DUMP_DESTCPU_COUNTCREATE_BITMAP_AREA_SIZECREATE_STORED_OUTLINESCURSOR_SHARINGCURSOR_SPACE_FOR_TIMEDB_nK_CACHE_SIZEDB_BLOCK_BUFFERSDB_BLOCK_CHECKINGDB_BLOCK_CHECKSUMDB_BLOCK_SIZEDB_CACHE_ADVICEDB_CACHE_SIZEDB_CREATE_FILE_DESTDB_CREATE_ONLINE_LOG_DEST_nDB_DOMAINDB_FILE_MULTIBLOCK_READ_COUNTDB_FILE_NAME_CONVERTDB_FILESDB_FLASHBACK_RETENTION_TARGETDB_KEEP_CACHE_SIZEDB_NAMEDB_RECOVERY_FILE_DESTDB_RECOVERY_FILE_DEST_SIZEDB_RECYCLE_CACHE_SIZEDB_UNIQUE_NAMEDB_WRITER_PROCESSESDBWR_IO_SLAVESDG_BROKER_CONFIG_FILEnDG_BROKER_STARTDISK_ASYNCH_IODISPATCHERSDISTRIBUTED_LOCK_TIMEOUTDML_LOCKSEVENTFAL_CLIENTFAL_SERVERFAST_START_MTTR_TARGETFAST_START_PARALLEL_ROLLBACKFILE_MAPPINGFILEIO_NETWORK_ADAPTERSFILESYSTEMIO_OPTIONSFIXED_DATEGC_FILES_TO_LOCKSGCS_SERVER_PROCESSESGLOBAL_NAMESHASH_AREA_SIZEHI_SHARED_MEMORY_ADDRESSHS_AUTOREGISTERIFILEINSTANCE_GROUPSINSTANCE_NAMEINSTANCE_NUMBERINSTANCE_TYPEJAVA_MAX_SESSIONSPACE_SIZEJAVA_POOL_SIZEJAVA_SOFT_SESSIONSPACE_LIMITJOB_QUEUE_PROCESSESLARGE_POOL_SIZELDAP_DIRECTORY_ACCESSLICENSE_MAX_SESSIONSLICENSE_MAX_USERSLICENSE_SESSIONS_WARNINGLOCAL_LISTENERLOCK_SGALOG_ARCHIVE_CONFIGLOG_ARCHIVE_DESTLOG_ARCHIVE_DEST_nLOG_ARCHIVE_DEST_STATE_nLOG_ARCHIVE_DUPLEX_DESTLOG_ARCHIVE_FORMATLOG_ARCHIVE_LOCAL_FIRSTLOG_ARCHIVE_MAX_PROCESSESLOG_ARCHIVE_MIN_SUCCEED_DESTLOG_ARCHIVE_TRACELOG_BUFFERLOG_CHECKPOINT_INTERVALLOG_CHECKPOINT_TIMEOUTLOG_CHECKPOINTS_TO_ALERTLOG_FILE_NAME_CONVERTMAX_COMMIT_PROPAGATION_DELAYMAX_DISPATCHERSMAX_DUMP_FILE_SIZEMAX_SHARED_SERVERSNLS_CALENDARNLS_COMPNLS_CURRENCYNLS_DATE_FORMATNLS_DATE_LANGUAGENLS_DUAL_CURRENCYNLS_ISO_CURRENCYNLS_LANGUAGENLS_LENGTH_SEMANTICSNLS_NCHAR_CONV_EXCPNLS_NUMERIC_CHARACTERSNLS_SORTNLS_TERRITORYNLS_TIMESTAMP_FORMATNLS_TIMESTAMP_TZ_FORMATO7_DICTIONARY_ACCESSIBILITYOBJECT_CACHE_MAX_SIZE_PERCENTOBJECT_CACHE_OPTIMAL_SIZEOLAP_PAGE_POOL_SIZEOPEN_CURSORSOPEN_LINKSOPEN_LINKS_PER_INSTANCEOPTIMIZER_DYNAMIC_SAMPLINGOPTIMIZER_FEATURES_ENABLEOPTIMIZER_INDEX_CACHINGOPTIMIZER_INDEX_COST_ADJOPTIMIZER_MODEOPTIMIZER_SECURE_VIEW_MERGINGOS_AUTHENT_PREFIXOS_ROLESPARALLEL_ADAPTIVE_MULTI_USERPARALLEL_EXECUTION_MESSAGE_SIZEPARALLEL_INSTANCE_GROUPPARALLEL_MAX_SERVERSPARALLEL_MIN_PERCENTPARALLEL_MIN_SERVERSPARALLEL_THREADS_PER_CPUPGA_AGGREGATE_TARGETPLSQL_CCFLAGSPLSQL_CODE_TYPEPLSQL_DEBUGPLSQL_NATIVE_LIBRARY_DIRPLSQL_NATIVE_LIBRARY_SUBDIR_COUNTPLSQL_OPTIMIZE_LEVELPLSQL_V2_COMPATIBILITYPLSQL_WARNINGSPRE_PAGE_SGAPROCESSESQUERY_REWRITE_ENABLEDQUERY_REWRITE_INTEGRITYRDBMS_SERVER_DNREAD_ONLY_OPEN_DELAYEDRECOVERY_PARALLELISMRECYCLEBINREMOTE_DEPENDENCIES_MODEREMOTE_LISTENERREMOTE_LOGIN_PASSWORDFILEREMOTE_OS_AUTHENTREMOTE_OS_ROLESREPLICATION_DEPENDENCY_TRACKINGRESOURCE_LIMITRESOURCE_MANAGER_PLANRESUMABLE_TIMEOUTROLLBACK_SEGMENTSSERVICE_NAMESSESSION_CACHED_CURSORSSESSION_MAX_OPEN_FILESSESSIONSSGA_MAX_SIZESGA_TARGETSHADOW_CORE_DUMPSHARED_MEMORY_ADDRESSSHARED_POOL_RESERVED_SIZESHARED_POOL_SIZESHARED_SERVER_SESSIONSSHARED_SERVERSSKIP_UNUSABLE_INDEXESSMTP_OUT_SERVERSORT_AREA_RETAINED_SIZESORT_AREA_SIZESPFILESQL92_SECURITYSQLTUNE_CATEGORYSTANDBY_ARCHIVE_DESTSTANDBY_FILE_MANAGEMENTSTAR_TRANSFORMATION_ENABLEDSTATISTICS_LEVELSTREAMS_POOL_SIZETAPE_ASYNCH_IOTHREADTIMED_OS_STATISTICSTIMED_STATISTICSTRACE_ENABLEDTRACEFILE_IDENTIFIERTRANSACTIONSTRANSACTIONS_PER_ROLLBACK_SEGMENTUNDO_MANAGEMENTUNDO_RETENTIONUNDO_TABLESPACEUSE_INDIRECT_DATA_BUFFERSUSER_DUMP_DESTUTL_FILE_DIRWORKAREA_SIZE_POLICY
This section describes system parameters. These parameters are not initialization parameters, so you cannot set them in a pfile or spfile. However, you can set them using an ALTER SYSTEM statement.
Syntax:
USE_STORED_OUTLINES = { TRUE | FALSE | category_name }
The USE_STORED_OUTLINES parameter determines whether the optimizer will use stored public outlines to generate execution plans. USE_STORED_OUTLINES is not an initialization parameter.
TRUE causes the optimizer to use outlines stored in the DEFAULT category when compiling requests.
FALSE specifies that the optimizer should not use stored outlines. This is the default.
category_name causes the optimizer to use outlines stored in the category_name category when compiling requests.
When you start your instance, Oracle Database creates shared server processes and dispatcher processes for the shared server architecture based on the values of the SHARED_SERVERS and DISPATCHERS initialization parameters. You can also set the SHARED_SERVERS and DISPATCHERS parameters with ALTER SYSTEM to perform one of the following operations while the instance is running:
Create additional shared server processes by increasing the minimum number of shared server processes.
Terminate existing shared server processes after their current calls finish processing.
Create more dispatcher processes for a specific protocol, up to a maximum across all protocols specified by the initialization parameter MAX_DISPATCHERS.
Terminate existing dispatcher processes for a specific protocol after their current user processes disconnect from the instance.
Examples
Archiving Redo Logs Manually: Examples The following statement manually archives the redo log file group containing the redo log entry with the SCN 9356083:
ALTER SYSTEM ARCHIVE LOG CHANGE 9356083;
The following statement manually archives the redo log file group containing a member named 'diskl:log6.log' to an archived redo log file in the location 'diska:[arch$]':
ALTER SYSTEM ARCHIVE LOG
LOGFILE 'diskl:log6.log'
TO 'diska:[arch$]';
Enabling Query Rewrite: Example This statement enables query rewrite in all sessions for all materialized views for which query rewrite has not been explicitly disabled:
ALTER SYSTEM SET QUERY_REWRITE_ENABLED = TRUE;
Restricting Sessions: Example You might want to restrict sessions if you are performing application maintenance and you want only application developers with RESTRICTED SESSION system privilege to log on. To restrict sessions, issue the following statement:
ALTER SYSTEM ENABLE RESTRICTED SESSION;
You can then terminate any existing sessions using the KILL SESSION clause of the ALTER SYSTEM statement.
After performing maintenance on your application, issue the following statement to allow any user with CREATE SESSION system privilege to log on:
ALTER SYSTEM DISABLE RESTRICTED SESSION;
Establishing a Wallet and Encryption Key The following statements load information from the server wallet into memory and set the transparent data encryption master key:
ALTER SYSTEM SET ENCRYPTION WALLET OPEN AUTHENTICATED BY "welcome1"; ALTER SYSTEM SET ENCRYPTION KEY AUTHENTICATED BY "welcome1";
These statements assume that you have initialized the security module and created a wallet with the password welcome1.
Clearing the Shared Pool: Example You might want to clear the shared pool before beginning performance analysis. To clear the shared pool, issue the following statement:
ALTER SYSTEM FLUSH SHARED_POOL;
Forcing a Checkpoint: Example The following statement forces a checkpoint:
ALTER SYSTEM CHECKPOINT;
Enabling Resource Limits: Example This ALTER SYSTEM statement dynamically enables resource limits:
ALTER SYSTEM SET RESOURCE_LIMIT = TRUE;
Changing Shared Server Settings: Examples The following statement changes the minimum number of shared server processes to 25:
ALTER SYSTEM SET SHARED_SERVERS = 25;
If there are currently fewer than 25 shared server processes, then Oracle Database creates more. If there are currently more than 25, then Oracle Database terminates some of them when they are finished processing their current calls if the load could be managed by the remaining 25.
The following statement dynamically changes the number of dispatcher processes for the TCP/IP protocol to 5 and the number of dispatcher processes for the ipc protocol to 10:
ALTER SYSTEM
SET DISPATCHERS =
'(INDEX=0)(PROTOCOL=TCP)(DISPATCHERS=5)',
'(INDEX=1)(PROTOCOL=ipc)(DISPATCHERS=10)';
If there are currently fewer than 5 dispatcher processes for TCP, then Oracle Database creates new ones. If there are currently more than 5, then Oracle Database terminates some of them after the connected users disconnect.
If there are currently fewer than 10 dispatcher processes for ipc, then Oracle Database creates new ones. If there are currently more than 10, then Oracle Database terminates some of them after the connected users disconnect.
If there are currently existing dispatchers for another protocol, then the preceding statement does not affect the number of dispatchers for that protocol.
Changing Licensing Parameters: Examples The following statement dynamically changes the limit on sessions for your instance to 64 and the warning threshold for sessions on your instance to 54:
ALTER SYSTEM SET LICENSE_MAX_SESSIONS = 64 LICENSE_SESSIONS_WARNING = 54;
If the number of sessions reaches 54, then Oracle Database writes a warning message to the ALERT file for each subsequent session. Also, users with RESTRICTED SESSION system privilege receive warning messages when they begin subsequent sessions.
If the number of sessions reaches 64, then only users with RESTRICTED SESSION system privilege can begin new sessions until the number of sessions falls below 64 again.
The following statement dynamically disables the limit for sessions on your instance. After you issue this statement, Oracle Database no longer limits the number of sessions on your instance.
ALTER SYSTEM SET LICENSE_MAX_SESSIONS = 0;
The following statement dynamically changes the limit on the number of users in the database to 200. After you issue the preceding statement, Oracle Database prevents the number of users in the database from exceeding 200.
ALTER SYSTEM SET LICENSE_MAX_USERS = 200;
Forcing a Log Switch: Example You might want to force a log switch to drop or rename the current redo log file group or one of its members, because you cannot drop or rename a file while Oracle Database is writing to it. The forced log switch affects only the redo log thread of your instance. The following statement forces a log switch:
ALTER SYSTEM SWITCH LOGFILE;
Enabling Distributed Recovery: Example The following statement enables distributed recovery:
ALTER SYSTEM ENABLE DISTRIBUTED RECOVERY;
You might want to disable distributed recovery for demonstration or testing purposes. You can disable distributed recovery in both single-process and multiprocess mode with the following statement:
ALTER SYSTEM DISABLE DISTRIBUTED RECOVERY;
When your demonstration or testing is complete, you can then enable distributed recovery again by issuing an ALTER SYSTEM statement with the ENABLE DISTRIBUTED RECOVERY clause.
Terminating a Session: Example You might want to terminate the session of a user that is holding resources needed by other users. The user receives an error message indicating that the session has been terminated. That user can no longer make calls to the database without beginning a new session. Consider this data from the V$SESSION dynamic performance table, when the users SYS and oe both have open sessions:
SELECT sid, serial#, username
FROM v$session;
SID SERIAL# USERNAME
---------- ---------- ------------------------------
29 85 SYS
33 1
35 8
39 23 OE
40 1
. . .
The following statement terminates the session of the user scott using the SID and SERIAL# values from V$SESSION:
ALTER SYSTEM KILL SESSION '39, 23';
Disconnecting a Session: Example The following statement disconnects user scott's session, using the SID and SERIAL# values from V$SESSION:
ALTER SYSTEM DISCONNECT SESSION '13, 8' POST_TRANSACTION;