Skip Headers
Oracle® Database SQL Reference
10g Release 2 (10.2)

Part Number B14200-02
Go to Documentation Home
Home
Go to Book List
Book List
Go to Table of Contents
Contents
Go to Index
Index
Go to Master Index
Master Index
Go to Feedback page
Contact Us

Go to previous page
Previous
Go to next page
Next
View PDF

SELECT

Purpose

Use a SELECT statement or subquery to retrieve data from one or more tables, object tables, views, object views, or materialized views.

If part or all of the result of a SELECT statement is equivalent to an existing materialized view, then Oracle Database may use the materialized view in place of one or more tables specified in the SELECT statement. This substitution is called query rewrite. It takes place only if cost optimization is enabled and the QUERY_REWRITE_ENABLED parameter is set to TRUE. To determine whether query write has occurred, use the EXPLAIN PLAN statement.

See Also:

Additional Topics

Prerequisites

For you to select data from a table or materialized view, the table or materialized view must be in your own schema or you must have the SELECT privilege on the table or materialized view.

For you to select rows from the base tables of a view:

The SELECT ANY TABLE system privilege also allows you to select data from any table or any materialized view or the base table of any view.

To issue an Oracle Flashback Query using the flashback_query_clause, you must have the SELECT privilege on the objects in the select list. In addition, either you must have FLASHBACK object privilege on the objects in the select list, or you must have FLASHBACK ANY TABLE system privilege.

Syntax

select::=

Description of select.gif follows
Description of the illustration select.gif

(for_update_clause ::=)

subquery::=

Description of subquery.gif follows
Description of the illustration subquery.gif

(subquery_factoring_clause ::=, select_list::=, table_reference::=, hierarchical_query_clause ::=, group_by_clause ::=, model_clause ::=, order_by_clause ::=)

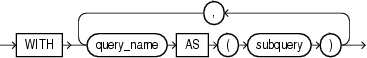
subquery_factoring_clause ::=

Description of subquery_factoring_clause.gif follows
Description of the illustration subquery_factoring_clause.gif

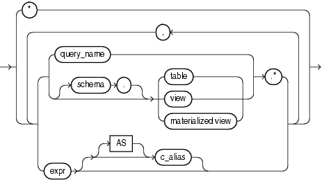
select_list::=

Description of select_list.gif follows
Description of the illustration select_list.gif

table_reference::=

Description of table_reference.gif follows
Description of the illustration table_reference.gif

(query_table_expression::=, flashback_query_clause ::=)

flashback_query_clause ::=

Description of flashback_query_clause.gif follows
Description of the illustration flashback_query_clause.gif

query_table_expression::=

Description of query_table_expression.gif follows
Description of the illustration query_table_expression.gif

(subquery_restriction_clause::=, table_collection_expression ::=)

sample_clause ::=

Description of sample_clause.gif follows
Description of the illustration sample_clause.gif

subquery_restriction_clause::=

Description of subquery_restriction_clause.gif follows
Description of the illustration subquery_restriction_clause.gif

table_collection_expression ::=

Description of table_collection_expression.gif follows
Description of the illustration table_collection_expression.gif

join_clause ::=

Description of join_clause.gif follows
Description of the illustration join_clause.gif

inner_cross_join_clause::=

Description of inner_cross_join_clause.gif follows
Description of the illustration inner_cross_join_clause.gif

(table_reference::=, query_partition_clause::=)

outer_join_clause::=

Description of outer_join_clause.gif follows
Description of the illustration outer_join_clause.gif

(table_reference::=, query_partition_clause::=)

query_partition_clause::=

Description of query_partition_clause.gif follows
Description of the illustration query_partition_clause.gif

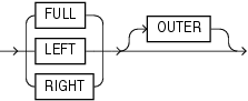
outer_join_type::=

Description of outer_join_type.gif follows
Description of the illustration outer_join_type.gif

where_clause::=

Description of where_clause.gif follows
Description of the illustration where_clause.gif

hierarchical_query_clause ::=

Description of hierarchical_query_clause.gif follows
Description of the illustration hierarchical_query_clause.gif

group_by_clause ::=

Description of group_by_clause.gif follows
Description of the illustration group_by_clause.gif

(rollup_cube_clause::=, grouping_sets_clause::=)

rollup_cube_clause::=

Description of rollup_cube_clause.gif follows
Description of the illustration rollup_cube_clause.gif

(grouping_expression_list::=)

grouping_sets_clause::=

Description of grouping_sets_clause.gif follows
Description of the illustration grouping_sets_clause.gif

(rollup_cube_clause::=, grouping_expression_list::=)

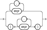
grouping_expression_list::=

Description of grouping_expression_list.gif follows
Description of the illustration grouping_expression_list.gif

expression_list::=

Description of expression_list.gif follows
Description of the illustration expression_list.gif

model_clause ::=

Description of model_clause.gif follows
Description of the illustration model_clause.gif

(cell_reference_options::=, return_rows_clause::=, reference_model::=, main_model::=)

cell_reference_options::=

Description of cell_reference_options.gif follows
Description of the illustration cell_reference_options.gif

return_rows_clause::=

Description of return_rows_clause.gif follows
Description of the illustration return_rows_clause.gif

reference_model::=

Description of reference_model.gif follows
Description of the illustration reference_model.gif

(model_column_clauses::=, cell_reference_options::=)

main_model::=

Description of main_model.gif follows
Description of the illustration main_model.gif

(model_column_clauses::=, cell_reference_options::=, model_rules_clause::=)

model_column_clauses::=

Description of model_column_clauses.gif follows
Description of the illustration model_column_clauses.gif

(query_partition_clause::=, model_column::=)

model_column::=

Description of model_column.gif follows
Description of the illustration model_column.gif

model_rules_clause::=

Description of model_rules_clause.gif follows
Description of the illustration model_rules_clause.gif

(cell_assignment::=, order_by_clause ::=)

cell_assignment::=

Description of cell_assignment.gif follows
Description of the illustration cell_assignment.gif

(single_column_for_loop::=, multi_column_for_loop::=)

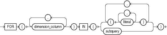
single_column_for_loop::=

Description of single_column_for_loop.gif follows
Description of the illustration single_column_for_loop.gif

multi_column_for_loop::=

Description of multi_column_for_loop.gif follows
Description of the illustration multi_column_for_loop.gif

order_by_clause ::=

Description of order_by_clause.gif follows
Description of the illustration order_by_clause.gif

for_update_clause ::=

Description of for_update_clause.gif follows
Description of the illustration for_update_clause.gif

Semantics

subquery_factoring_clause

The WITH query_name clause lets you assign a name to a subquery block. You can then reference the subquery block multiple places in the query by specifying the query name. Oracle Database optimizes the query by treating the query name as either an inline view or as a temporary table.

You can specify this clause in any top-level SELECT statement and in most types of subqueries. The query name is visible to the main query and to all subsequent subqueries except the subquery that defines the query name itself.

Restrictions on Subquery Factoring This clause is subject to the following restrictions:

See Also:

hint

Specify a comment that passes instructions to the optimizer on choosing an execution plan for the statement.

See Also:

"Using Hints" and Oracle Database Performance Tuning Guide for the syntax and description of hints

DISTINCT | UNIQUE

Specify DISTINCT or UNIQUE if you want the database to return only one copy of each set of duplicate rows selected. These two keywords are synonymous. Duplicate rows are those with matching values for each expression in the select list.

Restrictions on DISTINCT and UNIQUE Queries These types of queries are subject to the following restrictions:

ALL

Specify ALL if you want the database to return all rows selected, including all copies of duplicates. The default is ALL.

* (asterisk)

Specify the asterisk to select all columns from all tables, views, or materialized views listed in the FROM clause.

If you are selecting from a table rather than from a view or a materialized view, then columns that have been marked as UNUSED by the ALTER TABLE SET UNUSED statement are not selected.

select_list

The select_list lets you specify the columns you want to retrieve from the database.

query_name

For query_name, specify a name already specified in the subquery_factoring_clause. You must have specified the subquery_factoring_clause in order to specify query_name in the select_list. If you specify query_name in the select_list, then you also must specify query_name in the query_table_expression (FROM clause).

table.* | view.* | materialized view.*

Specify the object name followed by a period and the asterisk to select all columns from the specified table, view, or materialized view. Oracle Database returns a set of columns in the order in which the columns were specified when the object was created. A query that selects rows from two or more tables, views, or materialized views is a join.

You can use the schema qualifier to select from a table, view, or materialized view in a schema other than your own. If you omit schema, then the database assumes the table, view, or materialized view is in your own schema.

See Also:

"Joins"

expr

Specify an expression representing the information you want to select. A column name in this list can be qualified with schema only if the table, view, or materialized view containing the column is qualified with schema in the FROM clause. If you specify a member method of an object type, then you must follow the method name with parentheses even if the method takes no arguments.

c_alias Specify an alias for the column expression. Oracle Database will use this alias in the column heading of the result set. The AS keyword is optional. The alias effectively renames the select list item for the duration of the query. The alias can be used in the order_by_clause but not other clauses in the query.

See Also:

Restrictions on the Select List The select list is subject to the following restrictions:

FROM Clause

The FROM clause lets you specify the objects from which data is selected.

query_table_expression

Use the query_table_expression clause to identify a table, view, materialized view, partition, or subpartition, or to specify a subquery that identifies the objects.

ONLY The ONLY clause applies only to views. Specify ONLY if the view in the FROM clause is a view belonging to a hierarchy and you do not want to include rows from any of its subviews.

flashback_query_clause

Use the flashback_query_clause to retrieve past data from a table, view, or materialized view.

This clause implements SQL-driven Flashback, which lets you specify a different system change number or timestamp for each object in the select list. You can also implement session-level Flashback using the DBMS_FLASHBACK package.

A Flashback Query lets you retrieve a history of changes made to a row. You can retrieve the corresponding identifier of the transaction that made the change using the VERSIONS_XID pseudocolumn. You can also retrieve information about the transaction that resulted in a particular row version by issuing an Oracle Flashback Transaction Query. You do this by querying the FLASHBACK_TRANSACTION_QUERY data dictionary view for a particular transaction ID.

AS OF Specify AS OF to retrieve the single version of the rows returned by the query at a particular change number (SCN) or timestamp. If you specify SCN, then expr must evaluate to a number. If you specify TIMESTAMP, then expr must evaluate to a timestamp value. Oracle Database returns rows as they existed at the specified system change number or time.

VERSIONS Specify VERSIONS to retrieve multiple versions of the rows returned by the query. Oracle Database returns all committed versions of the rows that existed between two SCNs or between two timestamp values. The rows returned include deleted and subsequently reinserted versions of the rows.

Oracle Database provides a group of version query pseudocolumns that let you retrieve additional information about the various row versions. Please refer to "Version Query Pseudocolumns" for more information.

When both clauses are used together, the AS OF clause determines the SCN or moment in time from which the database issues the query. The VERSIONS clause determines the versions of the rows as seen from the AS OF point. The database returns null for a row version if the transaction started before the first BETWEEN value or ended after the AS OF point.

Restrictions on Flashback Queries These queries are subject to the following restrictions:

See Also:

PARTITION | SUBPARTITION For PARTITION or SUBPARTITION, specify the name of the partition or subpartition within table from which you want to retrieve data.

For range- and list-partitioned data, as an alternative to this clause, you can specify a condition in the WHERE clause that restricts the retrieval to one or more partitions of table. Oracle Database will interpret the condition and fetch data from only those partitions. It is not possible to formulate such a WHERE condition for hash-partitioned data.

dblink For dblink, specify the complete or partial name for a database link to a remote database where the table, view, or materialized view is located. This database need not be an Oracle Database.

See Also:

If you omit dblink, then the database assumes that the table, view, or materialized view is on the local database.

Restrictions on Database Links Database links are subject to the following restrictions:

table | view | materialized view Specify the name of a table, view, or materialized view from which data is selected.

sample_clause

The sample_clause lets you instruct the database to select from a random sample of data from the table, rather than from the entire table.

BLOCK BLOCK instructs the database to attempt to perform random block sampling instead of random row sampling.

Block sampling is possible only during full table scans or index fast full scans. If a more efficient execution path exists, then Oracle Database does not perform block sampling. If you want to guarantee block sampling for a particular table or index, then use the FULL or INDEX_FFS hint.

sample_percent For sample_percent, specify the percentage of the total row or block count to be included in the sample. The value must be in the range .000001 to, but not including, 100. This percentage indicates the probability of each row, or each cluster of rows in the case of block sampling, being selected as part of the sample. It does not mean that the database will retrieve exactly sample_percent of the rows of table.

Caution:

The use of statistically incorrect assumptions when using this feature can lead to incorrect or undesirable results.

SEED seed_value Specify this clause to instruct the database to attempt to return the same sample from one execution to the next. The seed_value must be an integer between 0 and 4294967295. If you omit this clause, then the resulting sample will change from one execution to the next.

Restriction on Sampling During Queries When sampling from a view, you must ensure that the view is key preserved. One way to do this is to use a CREATE TABLE ... AS subquery statement to materialize the result of an arbitrary query and then perform sampling on the resulting query.

Restrictions on sample_clause You cannot specify the SAMPLE clause in a subquery in a DML statement.

subquery_restriction_clause The subquery_restriction_clause lets you restrict the subquery in one of the following ways:

WITH READ ONLY Specify WITH READ ONLY to indicate that the table or view cannot be updated.

WITH CHECK OPTION Specify WITH CHECK OPTION to indicate that Oracle Database prohibits any changes to the table or view that would produce rows that are not included in the subquery. When used in the subquery of a DML statement, you can specify this clause in a subquery in the FROM clause but not in subquery in the WHERE clause.

CONSTRAINT constraint Specify the name of the CHECK OPTION constraint. If you omit this identifier, then Oracle automatically assigns the constraint a name of the form SYS_Cn, where n is an integer that makes the constraint name unique within the database.

table_collection_expression

The table_collection_expression lets you inform Oracle that the value of collection_expression should be treated as a table for purposes of query and DML operations. The collection_expression can be a subquery, a column, a function, or a collection constructor. Regardless of its form, it must return a collection value—that is, a value whose type is nested table or varray. This process of extracting the elements of a collection is called collection unnesting.

The optional plus (+) is relevant if you are joining the TABLE expression with the parent table. The + creates an outer join of the two, so that the query returns rows from the outer table even if the collection expression is null.

Note:

In earlier releases of Oracle, when collection_expression was a subquery, table_collection_expression was expressed as THE subquery. That usage is now deprecated.

The collection_expression can reference columns of tables defined to its left in the FROM clause. This is called left correlation. Left correlation can occur only in table_collection_expression. Other subqueries cannot contains references to columns defined outside the subquery.

The optional (+) lets you specify that table_collection_expression should return a row with all fields set to null if the collection is null or empty. The (+) is valid only if collection_expression uses left correlation. The result is similar to that of an outer join.

When you use the (+) syntax in the WHERE clause of a subquery in an UPDATE or DELETE operation, you must specify two tables in the FROM clause of the subquery. Oracle Database ignores the outer join syntax unless there is a join in the subquery itself.

t_alias

Specify a correlation name, which is alias for the table, view, materialized view, or subquery for evaluating the query. This alias is required if the select list references any object type attributes or object type methods. Correlation names are most often used in a correlated query. Other references to the table, view, or materialized view throughout the query must refer to this alias.

join_clause

Use the appropriate join_clause syntax to identify tables that are part of a join from which to select data. The inner_cross_join_clause lets you specify an inner or cross join. The outer_join_clause lets you specify an outer join.

When you join more than two row sources, you can use parentheses to override default precedence. For example, the following syntax:

SELECT ... FROM a JOIN (b JOIN c) ...

results in a join of b and c, and then a join of that result set with a.

Inner Joins

Inner joins return only those rows that satisfy the join condition.

INNER Specify INNER to explicitly specify an inner join.

JOIN The JOIN keyword explicitly states that a join is being performed. You can use this syntax to replace the comma-delimited table expressions used in WHERE clause joins with FROM clause join syntax.

ON condition Use the ON clause to specify a join condition. Doing so lets you specify join conditions separate from any search or filter conditions in the WHERE clause.

USING (columnWhen you are specifying an equijoin of columns that have the same name in both tables, the USING column clause indicates the columns to be used. You can use this clause only if the join columns in both tables have the same name. Within this clause, do not qualify the column name with a table name or table alias.

Cross Joins

The CROSS keyword indicates that a cross join is being performed. A cross join produces the cross-product of two relations and is essentially the same as the comma-delimited Oracle Database notation.

Outer Joins

Outer joins return all rows that satisfy the join condition and also returns some or all of those rows from one table for which no rows from the other satisfy the join condition. You can specify two types of outer joins: a conventional outer join using the table_reference syntax on both sides of the join, or a partitioned outer join using the query_partition_clause on one side or the other. A partitioned outer join is similar to a conventional outer join except that the join takes place between the outer table and each partition of the inner table. This type of join lets you selectively make sparse data more dense along the dimensions of interest. This process is called data densification.

outer_join_type The outer_join_type indicates the kind of outer join being performed:

query_partition_clause The query_partition_clause lets you define a partitioned outer join. Such a join extends the conventional outer join syntax by applying the outer join to partitions returned by the query. Oracle Database creates a partition of rows for each expression you specify in the PARTITION BY clause. The rows in each query partition have same value for the PARTITION BY expression.

The query_partition_clause can be on either side of the outer join. The result of a partitioned outer join is a UNION of the outer joins of each of the partitions in the partitioned result set and the table on the other side of the join. This type of result is useful for filling gaps in sparse data, which simplifies analytic calculations.

If you omit this clause, then the database treats the entire table expression--that is, everything specified in table_reference--as a single partition, resulting in a conventional outer join.

To use the query_partition_clause in an analytic function, use the upper branch of the syntax (without parentheses). To use this clause in a model query (in the model_column_clauses) or a partitioned outer join (in the outer_join_clause), use the lower branch of the syntax (with parentheses).

Restrictions on Partitioned Outer Joins Partitioned outer joins are subject to the following restrictions:

See Also:

ON condition Use the ON clause to specify a join condition. Doing so lets you specify join conditions separate from any search or filter conditions in the WHERE clause.

Restriction on the ON condition Clause You cannot specify this clause with a NATURAL outer join.

USING column In an outer join with the USING clause, the query returns a single column which is a coalesce of the two matching columns in the join. The coalesce functions as follows:

COALESCE (a, b) = a if a NOT NULL, else b.

Therefore:

Restriction on the USING column Clause 

NATURAL JOIN The NATURAL keyword indicates that a natural join is being performed. A natural join is based on all columns in the two tables that have the same name. It selects rows from the two tables that have equal values in the relevant columns. When specifying columns that are involved in the natural join, do not qualify the column name with a table name or table alias.

On occasion, the table pairings in natural or cross joins may be ambiguous. For example:

a NATURAL LEFT JOIN b LEFT JOIN c ON b.c1 = c.c1

can be interpreted in either of the following ways:

a NATURAL LEFT JOIN (b LEFT JOIN c ON b.c1 = c.c1) 
   (a NATURAL LEFT JOIN b) LEFT JOIN c ON b.c1 = c.c1

To avoid this ambiguity, you can use parentheses to specify the pairings of joined tables. In the absence of such parentheses, the database uses left associativity, pairing the tables from left to right.

Restriction on Natural Joins You cannot specify a LOB column, columns of ANYTYPE, ANYDATA, or ANYDATASET, or a collection column as part of a natural join.

where_clause

The WHERE condition lets you restrict the rows selected to those that satisfy one or more conditions. For condition, specify any valid SQL condition.

If you omit this clause, then the database returns all rows from the tables, views, or materialized views in the FROM clause.

Note:

If this clause refers to a DATE column of a partitioned table or index, then the database performs partition pruning only if you created the table or index partitions by fully specifying the year using the TO_DATE function with a 4-digit format mask, and you specify the date in the where_clause of the query using the TO_DATE function and either a 2- or 4-digit format mask.

See Also:

hierarchical_query_clause

The hierarchical_query_clause lets you select rows in a hierarchical order.

SELECT statements that contain hierarchical queries can contain the LEVEL pseudocolumn in the select list. LEVEL returns the value 1 for a root node, 2 for a child node of a root node, 3 for a grandchild, and so on. The number of levels returned by a hierarchical query may be limited by available user memory.

Oracle processes hierarchical queries as follows:

If you specify this clause, then do not specify either ORDER BY or GROUP BY, because they will destroy the hierarchical order of the CONNECT BY results. If you want to order rows of siblings of the same parent, then use the ORDER SIBLINGS BY clause.

See Also:

"Hierarchical Queries" for a discussion of hierarchical queries and "Using the LEVEL Pseudocolumn: Examples"

START WITH Clause

Specify a condition that identifies the row(s) to be used as the root(s) of a hierarchical query. Oracle Database uses as root(s) all rows that satisfy this condition. If you omit this clause, then the database uses all rows in the table as root rows. The START WITH condition can contain a subquery, but it cannot contain a scalar subquery expression.

CONNECT BY Clause

Specify a condition that identifies the relationship between parent rows and child rows of the hierarchy. The connect_by_condition can be any condition as described in Chapter 7, "Conditions". However, it must use the PRIOR operator to refer to the parent row.

Restriction on the CONNECT BY Clause The connect_by_condition cannot contain a regular subquery or a scalar subquery expression.

See Also:

group_by_clause

Specify the GROUP BY clause if you want the database to group the selected rows based on the value of expr(s) for each row and return a single row of summary information for each group. If this clause contains CUBE or ROLLUP extensions, then the database produces superaggregate groupings in addition to the regular groupings.

Expressions in the GROUP BY clause can contain any columns of the tables, views, or materialized views in the FROM clause, regardless of whether the columns appear in the select list.

The GROUP BY clause groups rows but does not guarantee the order of the result set. To order the groupings, use the ORDER BY clause.

See Also:

ROLLUP  The ROLLUP operation in the simple_grouping_clause groups the selected rows based on the values of the first n, n-1, n-2, ... 0 expressions in the GROUP BY specification, and returns a single row of summary for each group. You can use the ROLLUP operation to produce subtotal values by using it with the SUM function. When used with SUM, ROLLUP generates subtotals from the most detailed level to the grand total. Aggregate functions such as COUNT can be used to produce other kinds of superaggregates.

For example, given three expressions (n=3) in the ROLLUP clause of the simple_grouping_clause, the operation results in n+1 = 3+1 = 4 groupings.

Rows grouped on the values of the first n expressions are called regular rows, and the others are called superaggregate rows.

See Also:

Oracle Data Warehousing Guide for information on using ROLLUP with materialized views

CUBE  The CUBE operation in the simple_grouping_clause groups the selected rows based on the values of all possible combinations of expressions in the specification. It returns a single row of summary information for each group. You can use the CUBE operation to produce cross-tabulation values.

For example, given three expressions (n=3) in the CUBE clause of the simple_grouping_clause, the operation results in 2n = 23 = 8 groupings. Rows grouped on the values of n expressions are called regular rows, and the rest are called superaggregate rows.

See Also:

GROUPING SETS GROUPING SETS are a further extension of the GROUP BY clause that let you specify multiple groupings of data. Doing so facilitates efficient aggregation by pruning the aggregates you do not need. You specify just the desired groups, and the database does not need to perform the full set of aggregations generated by CUBE or ROLLUP. Oracle Database computes all groupings specified in the GROUPING SETS clause and combines the results of individual groupings with a UNION ALL operation. The UNION ALL means that the result set can include duplicate rows.

Within the GROUP BY clause, you can combine expressions in various ways:

HAVING Clause

Use the HAVING clause to restrict the groups of returned rows to those groups for which the specified condition is TRUE. If you omit this clause, then the database returns summary rows for all groups.

Specify GROUP BY and HAVING after the where_clause and hierarchical_query_clause. If you specify both GROUP BY and HAVING, then they can appear in either order.

Restrictions on the GROUP BY Clause: This clause is subject to the following restrictions:

model_clause

The model_clause lets you view selected rows as a multidimensional array and randomly access cells within that array. Using the model_clause, you can specify a series of cell assignments, referred to as rules, that invoke calculations on individual cells and ranges of cells. These rules operate on the results of a query and do not update any database tables.

When using the model_clause in a query, the SELECT and ORDER BY clauses must refer only to those columns defined in the model_column_clauses.

See Also:

main_model

The main_model clause defines how the selected rows will be viewed in a multidimensional array and what rules will operate on which cells in that array.

model_column_clauses

The model_column_clauses define and classify the columns of a query into three groups: partition columns, dimension columns, and measure columns.

PARTITION BY The PARTITION BY clause specifies the columns that will be used to divide the selected rows into partitions based on the values of the specified columns.

DIMENSION BY The DIMENSION BY clause specifies the columns that will identify a row within a partition. The values of the dimension columns, along with those of the partition columns, serve as array indexes to the measure columns within a row.

MEASURES The MEASURES clause identifies the columns on which the calculations can be performed. Measure columns in individual rows are treated like cells that you can reference, by specifying the values for the partition and dimension columns, and update.

model_column model_column identifies a column to be used in defining the model. A column alias is required if expr is not a column name. Please refer to "Model Expressions" for information on model expressions.

cell_reference_options

Use the cell_reference_options clause to specify how null and absent values are treated in rules and how column uniqueness is constrained.

IGNORE NAV When you specify IGNORE NAV, the database returns the following values for the null and absent values of the datatype specified:

KEEP NAV When you specify KEEP NAV, the database returns null for both null and absent cell values. KEEP NAV is the default.

UNIQUE SINGLE REFERENCE When you specify UNIQUE SINGLE REFERENCE, the database checks only single-cell references on the right-hand side of the rule for uniqueness, not the entire query result set.

UNIQUE DIMENSION When you specify UNIQUE DIMENSION, the database checks that the PARTITION BY and DIMENSION BY columns form a unique key to the query. UNIQUE DIMENSION is the default.

model_rules_clause

Use the model_rules_clause to specify the cells to be updated, the rules for updating those cells, and optionally, how the rules are to be applied and processed.

Each rule represents an assignment and consists of a left-hand side and right-hand side. The left-hand side of the rule identifies the cells to be updated by the right-hand side of the rule. The right-hand side of the rule evaluates to the values to be assigned to the cells specified on the left-hand side of the rule.

UPSERT ALL UPSERT ALL allows UPSERT behavior for a rule with both positional and symbolic references on the left-hand side of the rule. When evaluating an UPSERT ALL rule, Oracle performs the following steps to create a list of cell references to be upserted:

  1. Find the existing cells that satisfy all the symbolic predicates of the cell reference.

  2. Using just the dimensions that have symbolic references, find the distinct dimension value combinations of these cells.

  3. Perform a cross product of these value combinations with the dimension values specified by way of positional references.

Please refer to Oracle Data Warehousing Guide for more information on the semantics of UPSERT ALL.

UPSERT When you specify UPSERT, the database applies the rules to those cells referenced on the left-hand side of the rule that exist in the multidimensional array, and inserts new rows for those that do not exist. UPSERT behavior applies only when positional referencing is used on the left-hand side and a single cell is referenced. UPSERT is the default. Please refer to cell_assignment for more information on positional referencing and single-cell references.

UPDATE and UPSERT can be specified for individual rules as well. When either UPDATE or UPSERT is specified for a specific rule, it takes precedence over the option specified in the RULES clause.

Notes on UPSERT [ALL] and UPDATE:

If an UPSERT ALL, UPSERT, or UPDATE rule does not contain the appropriate predicates, the database may implicitly convert it to a different type of rule:
  • If an UPSERT rule contains an existential predicate, then the rule is treated as an UPDATE rule.

  • An UPSERT ALL rule must have at least one existential predicate and one qualified predicate on its left side.

    • If it has no existential predicate, then it is treated as an UPSERT rule.

    • If it has no qualified predicate, then it is treated as an UPDATE rule.

UPDATE When you specify UPDATE, the database applies the rules to those cells referenced on the left-hand side of the rule that exist in the multidimensional array. If the cells do not exist, the assignment is ignored.

AUTOMATIC ORDER When you specify AUTOMATIC ORDER, the database evaluates the rules based on their dependency order. In this case, a cell can be assigned a value once only.

SEQUENTIAL ORDER When you specify SEQUENTIAL ORDER, the database evaluates the rules in the order they appear. In this case, a cell can be assigned a value more than once. SEQUENTIAL ORDER is the default.

ITERATE...[UNTIL] Use ITERATE...[UNTIL] to specify the number of times to cycle through the rules and, optionally, an early termination condition.

When you specify ITERATE...[UNTIL], rules are evaluated in the order in which they appear. Oracle Database returns an error if both AUTOMATIC ORDER and ITERATE...[UNTIL] are specified in the model_rules_clause.

cell_assignment

The cell_assignment clause, which is the left-hand side of the rule, specifies one or more cells to be updated. When a cell_assignment references a single cell, it is called a single-cell reference. When more than one cell is referenced, it is called a multiple-cell reference.

All dimension columns defined in the model_clause must be qualified in the cell_assignment clause. A dimension can be qualified using either symbolic or positional referencing.

A symbolic reference qualifies a single dimension column using a Boolean condition like dimension_column=constant. A positional reference is one where the dimension column is implied by its position in the DIMENSION BY clause. The only difference between symbolic references and positional references is in the treatment of nulls.

Using a single-cell symbolic reference such as a[x=null,y=2000], no cells qualify because x=null evaluates to FALSE. However, using a single-cell positional reference such as a[null,2000], a cell where x is null and y is 2000 qualifies because null = null evaluates to TRUE. With single-cell positional referencing, you can reference, update, and insert cells where dimension columns are null.

You can specify a condition or an expression representing a dimension column value using either symbolic or positional referencing. condition cannot contain aggregate functions or the CV function, and condition must reference a single dimension column. expr cannot contain a subquery. Please refer to "Model Expressions" for information on model expressions.

single_column_for_loop

The single_column_for_loop clause lets you specify a range of cells to be updated within a single dimension column.

The IN clause lets you specify the values of the dimension column as either a list of values or as a subquery. When using subquery, it cannot:

The FROM clause lets you specify a range of values for a dimension column with discrete increments within the range. The FROM clause can only be used for those columns with a datatype for which addition and subtraction is supported. The INCREMENT and DECREMENT values must be positive.

Optionally, you can specify the LIKE clause within the FROM clause. In the LIKE clause, pattern is a character string containing a single pattern-matching character %. This character is replaced during execution with the current incremented or decremented value in the FROM clause.

If all dimensions other than those used by a FOR loop involve a single-cell reference, then the expressions can insert new rows. The number of dimension value combinations generated by FOR loops is counted as part of the 10,000 row limit of the MODEL clause.

multi_column_for_loop

The multi_column_for_loop clause lets you specify a range of cells to be updated across multiple dimension columns. The IN clause lets you specify the values of the dimension columns as either multiple lists of values or as a subquery. When using subquery, it cannot:

If all dimensions other than those used by a FOR loop involve a single-cell reference, then the expressions can insert new rows. The number of dimension value combinations generated by FOR loops is counted as part of the 10,000 row limit of the MODEL clause.

See Also:

Oracle Data Warehousing Guide for more information about using FOR loops in the MODEL clause

order_by_clause

Use the ORDER BY clause to specify the order in which cells on the left-hand side of the rule are to be evaluated. The expr must resolve to a dimension or measure column. If the ORDER BY clause is not specified, the order defaults to the order of the columns as specified in the DIMENSION BY clause. See order_by_clause for more information.

Restrictions on the order_by_clause Use of the ORDER BY clause in the model rule is subject to the following restrictions:

expr

Specify an expression representing the value or values of the cell or cells specified on the right-hand side of the rule. expr cannot contain a subquery. Please refer to "Model Expressions" for information on model expressions.

return_rows_clause

The return_rows_clause lets you specify whether to return all rows selected or only those rows updated by the model rules. ALL is the default.

reference_model

Use the reference_model clause when you need to access multiple arrays from inside the model_clause. This clause defines a read-only multidimensional array based on the results of a query.

The subclauses of the reference_model clause have the same semantics as for the main_model clause. Please refer to cell_reference_options, model_column_clauses, and cell_reference_options.

Restrictions on the reference_model clause This clause is subject to the following restrictions:

Set Operators: UNION, UNION ALL, INTERSECT, MINUS

The set operators combine the rows returned by two SELECT statements into a single result. The number and datatypes of the columns selected by each component query must be the same, but the column lengths can be different. The names of the columns in the result set are the names of the expressions in the select list preceding the set operator.

If you combine more than two queries with set operators, then the database evaluates adjacent queries from left to right. You can use parentheses to specify a different order of evaluation.

Please refer to "The UNION [ALL], INTERSECT, MINUS Operators" for information on these operators, including restrictions on their use.

order_by_clause

Use the ORDER BY clause to order rows returned by the statement. Without an order_by_clause, no guarantee exists that the same query executed more than once will retrieve rows in the same order.

SIBLINGS The SIBLINGS keyword is valid only if you also specify the hierarchical_query_clause (CONNECT BY). ORDER SIBLINGS BY preserves any ordering specified in the hierarchical query clause and then applies the order_by_clause to the siblings of the hierarchy.

expr expr orders rows based on their value for expr. The expression is based on columns in the select list or columns in the tables, views, or materialized views in the FROM clause.

position Specify position to order rows based on their value for the expression in this position of the select list. The position value must be an integer.

You can specify multiple expressions in the order_by_clause. Oracle Database first sorts rows based on their values for the first expression. Rows with the same value for the first expression are then sorted based on their values for the second expression, and so on. The database sorts nulls following all others in ascending order and preceding all others in descending order. Please refer to "Sorting Query Results" for a discussion of ordering query results.

ASC | DESC Specify whether the ordering sequence is ascending or descending. ASC is the default.

NULLS FIRST | NULLS LAST Specify whether returned rows containing null values should appear first or last in the ordering sequence.

NULLS LAST is the default for ascending order, and NULLS FIRST is the default for descending order.

Restrictions on the ORDER BY Clause The following restrictions apply to the ORDER BY clause:

for_update_clause

The FOR UPDATE clause lets you lock the selected rows so that other users cannot lock or update the rows until you end your transaction. You can specify this clause only in a top-level SELECT statement, not in subqueries.

Note:

Prior to updating a LOB value, you must lock the row containing the LOB. One way to lock the row is with an embedded SELECT ... FOR UPDATE statement. You can do this using one of the programmatic languages or DBMS_LOB package. For more information on lock rows before writing to a LOB, see Oracle Database Application Developer's Guide - Large Objects.

Nested table rows are not locked as a result of locking the parent table rows. If you want the nested table rows to be locked, then you must lock them explicitly.

Restrictions on the FOR UPDATE Clause This clause is subject to the following restrictions:

OF ... column

Use the OF ... column clause to lock the select rows only for a particular table or view in a join. The columns in the OF clause only indicate which table or view rows are locked. The specific columns that you specify are not significant. However, you must specify an actual column name, not a column alias. If you omit this clause, then the database locks the selected rows from all the tables in the query.

NOWAIT | WAIT

The NOWAIT and WAIT clauses let you tell the database how to proceed if the SELECT statement attempts to lock a row that is locked by another user.

NOWAIT Specify NOWAIT to return control to you immediately if a lock exists.

WAIT Specify WAIT to instruct the database to wait integer seconds for the row to become available and then return control to you.

If you specify neither WAIT nor NOWAIT, then the database waits until the row is available and then returns the results of the SELECT statement.

Restriction on the WAIT Clause

If you specify WAIT and the table is locked in exclusive mode, then the database will not return the results of the SELECT statement until the lock on the table is released regardless of the wait time specified.

Examples

Subquery Factoring: Example The following statement creates the query names dept_costs and avg_cost for the initial query block containing a join, and then uses the query names in the body of the main query.

WITH 
   dept_costs AS (
      SELECT department_name, SUM(salary) dept_total
         FROM employees e, departments d
         WHERE e.department_id = d.department_id
      GROUP BY department_name),
   avg_cost AS (
      SELECT SUM(dept_total)/COUNT(*) avg
      FROM dept_costs)
SELECT * FROM dept_costs
   WHERE dept_total >
      (SELECT avg FROM avg_cost)
      ORDER BY department_name;

DEPARTMENT_NAME                DEPT_TOTAL
------------------------------ ----------
Sales                              313800
Shipping                           156400

Simple Query Examples The following statement selects rows from the employees table with the department number of 30:

SELECT * 
   FROM employees 
   WHERE department_id = 30
   ORDER BY last_name;

The following statement selects the name, job, salary and department number of all employees except purchasing clerks from department number 30:

SELECT last_name, job_id, salary, department_id 
   FROM employees 
   WHERE NOT (job_id = 'PU_CLERK' AND department_id = 30)
   ORDER BY last_name; 

The following statement selects from subqueries in the FROM clause and for each department returns the total employees and salaries as a decimal value of all the departments:

SELECT a.department_id "Department",
   a.num_emp/b.total_count "%_Employees",
   a.sal_sum/b.total_sal "%_Salary"
FROM
(SELECT department_id, COUNT(*) num_emp, SUM(salary) sal_sum
   FROM employees
   GROUP BY department_id) a,
(SELECT COUNT(*) total_count, SUM(salary) total_sal
   FROM employees) b
ORDER BY a.department_id;

Selecting from a Partition: Example You can select rows from a single partition of a partitioned table by specifying the keyword PARTITION in the FROM clause. This SQL statement assigns an alias for and retrieves rows from the sales_q2_2000 partition of the sample table sh.sales:

SELECT * FROM sales PARTITION (sales_q2_2000) s
   WHERE s.amount_sold > 1500
   ORDER BY cust_id, time_id, channel_id;

The following example selects rows from the oe.orders table for orders earlier than a specified date:

SELECT * FROM orders
   WHERE order_date < TO_DATE('2000-06-15', 'YYYY-MM-DD');

Selecting a Sample: Examples  The following query estimates the number of orders in the oe.orders table:

SELECT COUNT(*) * 10 FROM orders SAMPLE (10);

COUNT(*)*10
-----------
         70

Because the query returns an estimate, the actual return value may differ from one query to the next.

SELECT COUNT(*) * 10 FROM orders SAMPLE (10);

COUNT(*)*10
-----------
         80

The following query adds a seed value to the preceding query. Oracle Database always returns the same estimate given the same seed value:

SELECT COUNT(*) * 10 FROM orders SAMPLE(10) SEED (1);

COUNT(*)*10
-----------
        110

SELECT COUNT(*) * 10 FROM orders SAMPLE(10) SEED(4);

COUNT(*)*10
-----------
        120

SELECT COUNT(*) * 10 FROM orders SAMPLE(10) SEED (1);

COUNT(*)*10
-----------
        110

Using Flashback Queries: Example The following statements show a current value from the sample table hr.employees and then change the value. The intervals used in these examples are very short for demonstration purposes. Time intervals in your own environment are likely to be larger.

SELECT salary FROM employees
   WHERE last_name = 'Chung';
   
    SALARY
----------
      3800

UPDATE employees SET salary = 4000
   WHERE last_name = 'Chung';
1 row updated.

SELECT salary FROM employees
   WHERE last_name = 'Chung';

    SALARY
----------
      4000

To learn what the value was before the update, you can use the following Flashback Query:

SELECT salary FROM employees
   AS OF TIMESTAMP (SYSTIMESTAMP - INTERVAL '1' MINUTE)
   WHERE last_name = 'Chung';
   
    SALARY
----------
      3800

To learn what the values were during a particular time period, you can use a version Flashback Query:

SELECT salary FROM employees
  VERSIONS BETWEEN TIMESTAMP
    SYSTIMESTAMP - INTERVAL '10' MINUTE AND
    SYSTIMESTAMP - INTERVAL '1' MINUTE
  WHERE last_name = 'Chung';

To revert to the earlier value, use the Flashback Query as the subquery of another UPDATE statement:

UPDATE employees SET salary =      
   (SELECT salary FROM employees
   AS OF TIMESTAMP (SYSTIMESTAMP - INTERVAL '2' MINUTE)
   WHERE last_name = 'Chung')
   WHERE last_name = 'Chung';
1 row updated.

SELECT salary FROM employees
   WHERE last_name = 'Chung';
   
    SALARY
----------
      3800

Using the GROUP BY Clause: Examples To return the minimum and maximum salaries for each department in the employees table, issue the following statement:

SELECT department_id, MIN(salary), MAX (salary)
     FROM employees
     GROUP BY department_id
   ORDER BY department_id;

To return the minimum and maximum salaries for the clerks in each department, issue the following statement:

SELECT department_id, MIN(salary), MAX (salary)
     FROM employees
     WHERE job_id = 'PU_CLERK'
     GROUP BY department_id
   ORDER BY department_id;

Using the GROUP BY CUBE Clause: Example To return the number of employees and their average yearly salary across all possible combinations of department and job category, issue the following query on the sample tables hr.employees and hr.departments:

SELECT DECODE(GROUPING(department_name), 1, 'All Departments',
      department_name) AS department_name,
   DECODE(GROUPING(job_id), 1, 'All Jobs', job_id) AS job_id,
   COUNT(*) "Total Empl", AVG(salary) * 12 "Average Sal"
   FROM employees e, departments d
   WHERE d.department_id = e.department_id
   GROUP BY CUBE (department_name, job_id)
   ORDER BY department_name, job_id;

DEPARTMENT_NAME                JOB_ID     Total Empl Average Sal
------------------------------ ---------- ---------- -----------
Accounting                     AC_ACCOUNT          1       99600
Accounting                     AC_MGR              1      144000
Accounting                     All Jobs            2      121800
Administration                 AD_ASST             1       52800
. . .
All Departments                ST_MAN              5       87360
All Departments                All Jobs          107  77798.1308

Using the GROUPING SETS Clause: Example The following example finds the sum of sales aggregated for three precisely specified groups:

Without the GROUPING SETS syntax, you would have to write less efficient queries with more complicated SQL. For example, you could run three separate queries and UNION them, or run a query with a CUBE(channel_desc, calendar_month_desc, country_id) operation and filter out five of the eight groups it would generate.

SELECT channel_desc, calendar_month_desc, co.country_id,
      TO_CHAR(sum(amount_sold) , '9,999,999,999') SALES$
   FROM sales, customers, times, channels, countries co
   WHERE sales.time_id=times.time_id 
      AND sales.cust_id=customers.cust_id 
      AND sales.channel_id= channels.channel_id 
      AND customers.country_id = co.country_id
      AND channels.channel_desc IN ('Direct Sales', 'Internet') 
      AND times.calendar_month_desc IN ('2000-09', '2000-10')
      AND co.country_iso_code IN ('UK', 'US')
  GROUP BY GROUPING SETS( 
      (channel_desc, calendar_month_desc, co.country_id), 
      (channel_desc, co.country_id), 
      (calendar_month_desc, co.country_id) );

CHANNEL_DESC         CALENDAR CO SALES$
-------------------- -------- -- --------------
Direct Sales         2000-09  UK      1,378,126
Direct Sales         2000-10  UK      1,388,051
Direct Sales         2000-09  US      2,835,557
Direct Sales         2000-10  US      2,908,706
Internet             2000-09  UK        911,739
Internet             2000-10  UK        876,571
Internet             2000-09  US      1,732,240
Internet             2000-10  US      1,893,753
Direct Sales                  UK      2,766,177
Direct Sales                  US      5,744,263
Internet                      UK      1,788,310
Internet                      US      3,625,993
                     2000-09  UK      2,289,865
                     2000-09  US      4,567,797
                     2000-10  UK      2,264,622
                     2000-10  US      4,802,459

See Also:

the functions GROUP_ID, GROUPING, and GROUPING_ID for more information on those functions

Hierarchical Query Examples The following query with a CONNECT BY clause defines a hierarchical relationship in which the employee_id value of the parent row is equal to the manager_id value of the child row:

SELECT last_name, employee_id, manager_id FROM employees
   CONNECT BY employee_id = manager_id
   ORDER BY last_name;

In the following CONNECT BY clause, the PRIOR operator applies only to the employee_id value. To evaluate this condition, the database evaluates employee_id values for the parent row and manager_id, salary, and commission_pct values for the child row:

SELECT last_name, employee_id, manager_id FROM employees
   CONNECT BY PRIOR employee_id = manager_id
   AND salary > commission_pct
   ORDER BY last_name; 

To qualify as a child row, a row must have a manager_id value equal to the employee_id value of the parent row and it must have a salary value greater than its commission_pct value.

Using the HAVING Condition: Example To return the minimum and maximum salaries for the employees in each department whose lowest salary is less than $5,000, issue the next statement:

SELECT department_id, MIN(salary), MAX (salary)
   FROM employees
   GROUP BY department_id
   HAVING MIN(salary) < 5000
   ORDER BY department_id;

DEPARTMENT_ID MIN(SALARY) MAX(SALARY)
------------- ----------- -----------
           10        4400        4400
           30        2500       11000
           50        2100        8200
           60        4200        9000

The following example uses a correlated subquery in a HAVING clause that eliminates from the result set any departments without managers and managers without departments:

SELECT department_id, manager_id 
   FROM employees 
   GROUP BY department_id, manager_id HAVING (department_id, manager_id) IN   (SELECT department_id, manager_id FROM employees x 
      WHERE x.department_id = employees.department_id)
   ORDER BY department_id;

Using the ORDER BY Clause: Examples To select all purchasing clerk records from employees and order the results by commission in descending order, issue the following statement:

SELECT * 
   FROM employees
   WHERE job_id = 'PU_CLERK' 
   ORDER BY commission_pct DESC; 

To select information from employees ordered first by ascending department number and then by descending salary, issue the following statement:

SELECT last_name, department_id, salary
   FROM employees
   ORDER BY department_id ASC, salary DESC; 

To select the same information as the previous SELECT and use the positional ORDER BY notation, issue the following statement, which orders by ascending department_id, then descending salary, and finally alphabetically by last_name:

SELECT last_name, department_id, salary 
   FROM employees 
   ORDER BY 2 ASC, 3 DESC, 1; 

The MODEL clause: Examples The view created below is based on the sample sh schema and is used by the example that follows.

CREATE OR REPLACE VIEW sales_view_ref AS
  SELECT country_name country,
         prod_name prod,
         calendar_year year,
         SUM(amount_sold) sale,
         COUNT(amount_sold) cnt
    FROM sales,times,customers,countries,products
    WHERE sales.time_id = times.time_id AND
          sales.prod_id = products.prod_id AND
          sales.cust_id = customers.cust_id AND
          customers.country_id = countries.country_id AND
          ( customers.country_id = 52779 OR 
            customers.country_id = 52776 ) AND
          ( prod_name = 'Standard Mouse' OR
            prod_name = 'Mouse Pad' )
    GROUP BY country_name,prod_name,calendar_year;

SELECT country, prod, year, sale
  FROM sales_view_ref
  ORDER BY country, prod, year;

COUNTRY       PROD                                         YEAR        SALE
----------    -----------------------------------      --------   ---------
France        Mouse Pad                                    1998     2509.42
France        Mouse Pad                                    1999     3678.69
France        Mouse Pad                                    2000     3000.72
France        Mouse Pad                                    2001     3269.09
France        Standard Mouse                               1998     2390.83
France        Standard Mouse                               1999     2280.45
France        Standard Mouse                               2000     1274.31
France        Standard Mouse                               2001     2164.54
Germany       Mouse Pad                                    1998     5827.87
Germany       Mouse Pad                                    1999     8346.44
Germany       Mouse Pad                                    2000     7375.46
Germany       Mouse Pad                                    2001     9535.08
Germany       Standard Mouse                               1998     7116.11
Germany       Standard Mouse                               1999     6263.14
Germany       Standard Mouse                               2000     2637.31
Germany       Standard Mouse                               2001     6456.13
 
16 rows selected.

The next example creates a multidimensional array from sales_view_ref with columns containing country, product, year, and sales. It also:

SELECT country,prod,year,s
  FROM sales_view_ref
  MODEL
    PARTITION BY (country)
    DIMENSION BY (prod, year)
    MEASURES (sale s)
    IGNORE NAV
    UNIQUE DIMENSION
    RULES UPSERT SEQUENTIAL ORDER
    (
      s[prod='Mouse Pad', year=2001] =
        s['Mouse Pad', 1999] + s['Mouse Pad', 2000],
      s['Standard Mouse', 2002] = s['Standard Mouse', 2001]
    )
  ORDER BY country, prod, year;
 
COUNTRY       PROD                                         YEAR        SALE
----------    -----------------------------------      --------   ---------
France        Mouse Pad                                    1998     2509.42
France        Mouse Pad                                    1999     3678.69
France        Mouse Pad                                    2000     3000.72
France        Mouse Pad                                    2001     6679.41
France        Standard Mouse                               1998     2390.83
France        Standard Mouse                               1999     2280.45
France        Standard Mouse                               2000     1274.31
France        Standard Mouse                               2001     2164.54
France        Standard Mouse                               2002     2164.54
Germany       Mouse Pad                                    1998     5827.87
Germany       Mouse Pad                                    1999     8346.44
Germany       Mouse Pad                                    2000     7375.46
Germany       Mouse Pad                                    2001     15721.9
Germany       Standard Mouse                               1998     7116.11
Germany       Standard Mouse                               1999     6263.14
Germany       Standard Mouse                               2000     2637.31
Germany       Standard Mouse                               2001     6456.13
Germany       Standard Mouse                               2002     6456.13

18 rows selected.

The first rule uses UPDATE behavior because symbolic referencing is used on the left-hand side of the rule. The rows represented by the left-hand side of the rule exist, so the measure columns are updated. If the rows did not exist, then no action would have been taken.

The second rule uses UPSERT behavior because positional referencing is used on the left-hand side and a single cell is referenced. The rows do not exist, so new rows are inserted and the related measure columns are updated. If the rows did exist, then the measure columns would have been updated.

See Also:

Oracle Data Warehousing Guide for an expanded discussion and examples

The next example uses the same sales_view_ref view and the analytic function SUM to calculate a cumulative sum (csum) of sales per country and per year.

SELECT country, year, sale, csum
   FROM 
   (SELECT country, year, SUM(sale) sale
    FROM sales_view_ref
    GROUP BY country, year
   )
   MODEL DIMENSION BY (country, year)
         MEASURES (sale, 0 csum) 
         RULES (csum[any, any]= 
                  SUM(sale) OVER (PARTITION BY country 
                                  ORDER BY year 
                                  ROWS UNBOUNDED PRECEDING) 
                )
   ORDER BY country, year;

COUNTRY               YEAR       SALE       CSUM
--------------- ---------- ---------- ----------
France                1998    4900.25    4900.25
France                1999    5959.14   10859.39
France                2000    4275.03   15134.42
France                2001    5433.63   20568.05
Germany               1998   12943.98   12943.98
Germany               1999   14609.58   27553.56
Germany               2000   10012.77   37566.33
Germany               2001   15991.21   53557.54
 
8 rows selected.

Using the FOR UPDATE Clause: Examples The following statement locks rows in the employees table with purchasing clerks located in Oxford, which has location_id 2500, and locks rows in the departments table with departments in Oxford that have purchasing clerks:

SELECT e.employee_id, e.salary, e.commission_pct
   FROM employees e, departments d
   WHERE job_id = 'SA_REP'
   AND e.department_id = d.department_id
   AND location_id = 2500
   FOR UPDATE
   ORDER BY e.employee_id;

The following statement locks only those rows in the employees table with purchasing clerks located in Oxford. No rows are locked in the departments table:

SELECT e.employee_id, e.salary, e.commission_pct
   FROM employees e JOIN departments d
   USING (department_id)
   WHERE job_id = 'SA_REP'
   AND location_id = 2500
   FOR UPDATE OF e.salary
   ORDER BY e.employee_id;

Using the WITH CHECK OPTION Clause: Example The following statement is legal even though the third value inserted violates the condition of the subquery where_clause:

INSERT INTO (SELECT department_id, department_name, location_id
   FROM departments WHERE location_id < 2000)
   VALUES (9999, 'Entertainment', 2500);

However, the following statement is illegal because it contains the WITH CHECK OPTION clause:

INSERT INTO (SELECT department_id, department_name, location_id
   FROM departments WHERE location_id < 2000 WITH CHECK OPTION)
   VALUES (9999, 'Entertainment', 2500);
     *
ERROR at line 2:
ORA-01402: view WITH CHECK OPTION where-clause violation

Using Join Queries: Examples The following examples show various ways of joining tables in a query. In the first example, an equijoin returns the name and job of each employee and the number and name of the department in which the employee works:

SELECT last_name, job_id, departments.department_id, department_name
   FROM employees, departments
   WHERE employees.department_id = departments.department_id
   ORDER BY last_name;

LAST_NAME           JOB_ID     DEPARTMENT_ID DEPARTMENT_NAME
------------------- ---------- ------------- ----------------------
. . .
Sciarra             FI_ACCOUNT           100 Finance
Urman               FI_ACCOUNT           100 Finance
Popp                FI_ACCOUNT           100 Finance
. . .

You must use a join to return this data because employee names and jobs are stored in a different table than department names. Oracle Database combines rows of the two tables according to this join condition:

employees.department_id = departments.department_id 

The following equijoin returns the name, job, department number, and department name of all sales managers:

SELECT last_name, job_id, departments.department_id, department_name
   FROM employees, departments
   WHERE employees.department_id = departments.department_id
   AND job_id = 'SA_MAN'
   ORDER BY last_name;

LAST_NAME           JOB_ID     DEPARTMENT_ID DEPARTMENT_NAME
------------------- ---------- ------------- -----------------------
Russell             SA_MAN                80 Sales
Partners            SA_MAN                80 Sales
Errazuriz           SA_MAN                80 Sales
Cambrault           SA_MAN                80 Sales
Zlotkey             SA_MAN                80 Sales

This query is identical to the preceding example, except that it uses an additional where_clause condition to return only rows with a job value of 'SA_MAN'.

Using Subqueries: Examples To determine who works in the same department as employee 'Lorentz', issue the following statement:

SELECT last_name, department_id FROM employees
   WHERE department_id =
     (SELECT department_id FROM employees
      WHERE last_name = 'Lorentz')
   ORDER BY last_name; 

To give all employees in the employees table a 10% raise if they have changed jobs--that is, if they appear in the job_history table--issue the following statement:

UPDATE employees 
    SET salary = salary * 1.1
    WHERE employee_id IN (SELECT employee_id FROM job_history);

To create a second version of the departments table new_departments, with only three of the columns of the original table, issue the following statement:

CREATE TABLE new_departments 
   (department_id, department_name, location_id)
   AS SELECT department_id, department_name, location_id 
   FROM departments; 

Using Self Joins: Example  The following query uses a self join to return the name of each employee along with the name of the employee's manager. A WHERE clause is added to shorten the output.

SELECT e1.last_name||' works for '||e2.last_name 
   "Employees and Their Managers"
   FROM employees e1, employees e2 
   WHERE e1.manager_id = e2.employee_id
      AND e1.last_name LIKE 'R%';

Employees and Their Managers   
-------------------------------
Rajs works for Mourgos
Raphaely works for King
Rogers works for Kaufling
Russell works for King

The join condition for this query uses the aliases e1 and e2 for the sample table employees:

e1.manager_id = e2.employee_id

Using Outer Joins: Examples The following example shows how a partitioned outer join fills data gaps in rows to facilitate analytic function specification and reliable report formatting. The example first creates a small data table to be used in the join:

SELECT d.department_id, e.last_name
   FROM departments d LEFT OUTER JOIN employees e
   ON d.department_id = e.department_id
   ORDER BY d.department_id, e.last_name;

Users familiar with the traditional Oracle Database outer joins syntax will recognize the same query in this form:

SELECT d.department_id, e.last_name
   FROM departments d, employees e
   WHERE d.department_id = e.department_id(+)
   ORDER BY d.department_id, e.last_name;

Oracle strongly recommends that you use the more flexible FROM clause join syntax shown in the former example.

The left outer join returns all departments, including those without any employees. The same statement with a right outer join returns all employees, including those not yet assigned to a department:

Note:

The employee Zeuss was added to the employees table for these examples, and is not part of the sample data.
SELECT d.department_id, e.last_name
   FROM departments d RIGHT OUTER JOIN employees e
   ON d.department_id = e.department_id
   ORDER BY d.department_id, e.last_name;

DEPARTMENT_ID LAST_NAME
------------- -------------------------
. . .
          110 Higgins
          110 Gietz
              Grant
              Zeuss

It is not clear from this result whether employees Grant and Zeuss have department_id NULL, or whether their department_id is not in the departments table. To determine this requires a full outer join:

SELECT d.department_id as d_dept_id, e.department_id as e_dept_id,
      e.last_name
   FROM departments d FULL OUTER JOIN employees e
   ON d.department_id = e.department_id
   ORDER BY d.department_id, e.last_name;

 D_DEPT_ID  E_DEPT_ID LAST_NAME
---------- ---------- -------------------------
  . . .
       110        110 Gietz
       110        110 Higgins
  . . .
       260
       270
                  999 Zeuss
                      Grant

Because the column names in this example are the same in both tables in the join, you can also use the common column feature by specifying the USING clause of the join syntax. The output is the same as for the preceding example except that the USING clause coalesces the two matching columns department_id into a single column output:

SELECT department_id AS d_e_dept_id, e.last_name
   FROM departments d FULL OUTER JOIN employees e
   USING (department_id)
   ORDER BY department_id, e.last_name;

D_E_DEPT_ID LAST_NAME
----------- -------------------------
  . . .
        110 Higgins
        110 Gietz
  . . .
        260
        270
        999 Zeuss
            Grant

Using Partitioned Outer Joins: Examples The following example shows how a partitioned outer join fills in gaps in rows to facilitate analytic calculation specification and reliable report formatting. The example first creates and populates a simple table to be used in the join:

CREATE TABLE inventory (time_id    DATE,
                        product    VARCHAR2(10),
                        quantity   NUMBER);

INSERT INTO inventory VALUES (TO_DATE('01/04/01', 'DD/MM/YY'), 'bottle', 10);
INSERT INTO inventory VALUES (TO_DATE('06/04/01', 'DD/MM/YY'), 'bottle', 10);
INSERT INTO inventory VALUES (TO_DATE('01/04/01', 'DD/MM/YY'), 'can', 10);
INSERT INTO inventory VALUES (TO_DATE('04/04/01', 'DD/MM/YY'), 'can', 10);

SELECT times.time_id, product, quantity FROM inventory 
   PARTITION BY  (product) 
   RIGHT OUTER JOIN times ON (times.time_id = inventory.time_id) 
   WHERE times.time_id BETWEEN TO_DATE('01/04/01', 'DD/MM/YY') 
      AND TO_DATE('06/04/01', 'DD/MM/YY') 
   ORDER BY  2,1; 

TIME_ID   PRODUCT      QUANTITY
--------- ---------- ----------
01-APR-01 bottle             10
02-APR-01 bottle
03-APR-01 bottle
04-APR-01 bottle
05-APR-01 bottle
06-APR-01 bottle             10
06-APR-01 bottle              8
01-APR-01 can                10
01-APR-01 can                15
02-APR-01 can
03-APR-01 can
04-APR-01 can                10
04-APR-01 can                11
05-APR-01 can
06-APR-01 can

15 rows selected.

The data is now more dense along the time dimension for each partition of the product dimension. However, each of the newly added rows within each partition is null in the quantity column. It is more useful to see the nulls replaced by the preceding non-NULL value in time order. You can achieve this by applying the analytic function LAST_VALUE on top of the query result:

SELECT time_id, product, LAST_VALUE(quantity IGNORE NULLS) 
   OVER (PARTITION BY product ORDER BY time_id) quantity 
   FROM ( SELECT times.time_id, product, quantity 
             FROM inventory PARTITION BY  (product) 
                RIGHT OUTER JOIN times ON (times.time_id = inventory.time_id) 
   WHERE times.time_id BETWEEN TO_DATE('01/04/01', 'DD/MM/YY') 
      AND TO_DATE('06/04/01', 'DD/MM/YY')) 
   ORDER BY  2,1; 

TIME_ID   PRODUCT      QUANTITY
--------- ---------- ----------
01-APR-01 bottle             10
02-APR-01 bottle             10
03-APR-01 bottle             10
04-APR-01 bottle             10
05-APR-01 bottle             10
06-APR-01 bottle              8
06-APR-01 bottle              8
01-APR-01 can                15
01-APR-01 can                15
02-APR-01 can                15
03-APR-01 can                15
04-APR-01 can                11
04-APR-01 can                11
05-APR-01 can                11
06-APR-01 can                11

15 rows selected.

See Also:

Oracle Data Warehousing Guide for an expanded discussion on filling gaps in time series calculations and examples of usage

Using Antijoins: Example The following example selects a list of employees who are not in a particular set of departments:

SELECT * FROM employees 
   WHERE department_id NOT IN 
   (SELECT department_id FROM departments 
       WHERE location_id = 1700)
   ORDER BY last_name;

Using Semijoins: Example In the following example, only one row needs to be returned from the departments table, even though many rows in the employees table might match the subquery. If no index has been defined on the salary column in employees, then a semijoin can be used to improve query performance.

SELECT * FROM departments 
   WHERE EXISTS 
   (SELECT * FROM employees 
       WHERE departments.department_id = employees.department_id 
       AND employees.salary > 2500)
   ORDER BY department_name; 

Table Collections: Examples You can perform DML operations on nested tables only if they are defined as columns of a table. Therefore, when the query_table_expr_clause of an INSERT, DELETE, or UPDATE statement is a table_collection_expression, the collection expression must be a subquery that uses the TABLE function to select the nested table column of the table. The examples that follow are based on the following scenario:

Suppose the database contains a table hr_info with columns department_id, location_id, and manager_id, and a column of nested table type people which has last_name, department_id, and salary columns for all the employees of each respective manager:

CREATE TYPE people_typ AS OBJECT (
   last_name      VARCHAR2(25),
   department_id  NUMBER(4),
   salary         NUMBER(8,2));
/
CREATE TYPE people_tab_typ AS TABLE OF people_typ;
/
CREATE TABLE hr_info (
   department_id   NUMBER(4),
   location_id     NUMBER(4),
   manager_id      NUMBER(6),
   people          people_tab_typ)
   NESTED TABLE people STORE AS people_stor_tab;

INSERT INTO hr_info VALUES (280, 1800, 999, people_tab_typ());

The following example inserts into the people nested table column of the hr_info table for department 280:

INSERT INTO TABLE(SELECT h.people FROM hr_info h
   WHERE h.department_id = 280)
   VALUES ('Smith', 280, 1750);

The next example updates the department 280 people nested table:

UPDATE TABLE(SELECT h.people FROM hr_info h
   WHERE h.department_id = 280) p
   SET p.salary = p.salary + 100;

The next example deletes from the department 280 people nested table:

DELETE TABLE(SELECT h.people FROM hr_info h
   WHERE h.department_id = 280) p
   WHERE p.salary > 1700;

Collection Unnesting: Examples To select data from a nested table column, use the TABLE function to treat the nested table as columns of a table. This process is called collection unnesting.

You could get all the rows from hr_info, which was created in the preceding example, and all the rows from the people nested table column of hr_info using the following statement:

SELECT t1.department_id, t2.* FROM hr_info t1, TABLE(t1.people) t2
   WHERE t2.department_id = t1.department_id;

Now suppose that people is not a nested table column of hr_info, but is instead a separate table with columns last_name, department_id, address, hiredate, and salary. You can extract the same rows as in the preceding example with this statement:

SELECT t1.department_id, t2.* 
   FROM hr_info t1, TABLE(CAST(MULTISET(
      SELECT t3.last_name, t3.department_id, t3.salary 
         FROM people t3
      WHERE t3.department_id = t1.department_id)
      AS people_tab_typ)) t2;

Finally, suppose that people is neither a nested table column of table hr_info nor a table itself. Instead, you have created a function people_func that extracts from various sources the name, department, and salary of all employees. You can get the same information as in the preceding examples with the following query:

SELECT t1.department_id, t2.* FROM hr_info t1, TABLE(CAST
   (people_func( ... ) AS people_tab_typ)) t2;

See Also:

Oracle Database Application Developer's Guide - Fundamentals for more examples of collection unnesting.

Using the LEVEL Pseudocolumn: Examples The following statement returns all employees in hierarchical order. The root row is defined to be the employee whose job is AD_VP. The child rows of a parent row are defined to be those who have the employee number of the parent row as their manager number.

SELECT LPAD(' ',2*(LEVEL-1)) || last_name org_chart, 
        employee_id, manager_id, job_id
    FROM employees
    START WITH job_id = 'AD_VP' 
    CONNECT BY PRIOR employee_id = manager_id; 

ORG_CHART          EMPLOYEE_ID MANAGER_ID JOB_ID
------------------ ----------- ---------- ----------
Kochhar                    101        100 AD_VP
  Greenberg                108        101 FI_MGR
    Faviet                 109        108 FI_ACCOUNT
    Chen                   110        108 FI_ACCOUNT
    Sciarra                111        108 FI_ACCOUNT
    Urman                  112        108 FI_ACCOUNT
    Popp                   113        108 FI_ACCOUNT
  Whalen                   200        101 AD_ASST
  Mavris                   203        101 HR_REP
  Baer                     204        101 PR_REP
  Higgins                  205        101 AC_MGR
    Gietz                  206        205 AC_ACCOUNT
De Haan                    102        100 AD_VP
  Hunold                   103        102 IT_PROG
    Ernst                  104        103 IT_PROG
    Austin                 105        103 IT_PROG
    Pataballa              106        103 IT_PROG
    Lorentz                107        103 IT_PROG

The following statement is similar to the previous one, except that it does not select employees with the job FI_MAN.

SELECT LPAD(' ',2*(LEVEL-1)) || last_name org_chart, 
        employee_id, manager_id, job_id
    FROM employees
    WHERE job_id != 'FI_MGR'
    START WITH job_id = 'AD_VP' 
    CONNECT BY PRIOR employee_id = manager_id; 

ORG_CHART          EMPLOYEE_ID MANAGER_ID JOB_ID
------------------ ----------- ---------- ----------
Kochhar                    101        100 AD_VP
    Faviet                 109        108 FI_ACCOUNT
    Chen                   110        108 FI_ACCOUNT
    Sciarra                111        108 FI_ACCOUNT
    Urman                  112        108 FI_ACCOUNT
    Popp                   113        108 FI_ACCOUNT
  Whalen                   200        101 AD_ASST
  Mavris                   203        101 HR_REP
  Baer                     204        101 PR_REP
  Higgins                  205        101 AC_MGR
    Gietz                  206        205 AC_ACCOUNT
De Haan                    102        100 AD_VP
  Hunold                   103        102 IT_PROG
    Ernst                  104        103 IT_PROG
    Austin                 105        103 IT_PROG
    Pataballa              106        103 IT_PROG
    Lorentz                107        103 IT_PROG


Oracle Database does not return the manager Greenberg, although it does return employees who are managed by Greenberg.

The following statement is similar to the first one, except that it uses the LEVEL pseudocolumn to select only the first two levels of the management hierarchy:

SELECT LPAD(' ',2*(LEVEL-1)) || last_name org_chart, 
employee_id, manager_id, job_id 
    FROM employees
    START WITH job_id = 'AD_PRES' 
    CONNECT BY PRIOR employee_id = manager_id AND LEVEL <= 2; 

ORG_CHART          EMPLOYEE_ID MANAGER_ID JOB_ID
------------------ ----------- ---------- ----------
King                       100            AD_PRES
  Kochhar                  101        100 AD_VP
  De Haan                  102        100 AD_VP
  Raphaely                 114        100 PU_MAN
  Weiss                    120        100 ST_MAN
  Fripp                    121        100 ST_MAN
  Kaufling                 122        100 ST_MAN
  Vollman                  123        100 ST_MAN
  Mourgos                  124        100 ST_MAN
  Russell                  145        100 SA_MAN
  Partners                 146        100 SA_MAN
  Errazuriz                147        100 SA_MAN
  Cambrault                148        100 SA_MAN
  Zlotkey                  149        100 SA_MAN
  Hartstein                201        100 MK_MAN

Using Distributed Queries: Example  This example shows a query that joins the departments table on the local database with the employees table on the remote database:

SELECT last_name, department_name 
   FROM employees@remote, departments
   WHERE employees.department_id = departments.department_id; 

Using Correlated Subqueries: Examples The following examples show the general syntax of a correlated subquery:

SELECT select_list 
    FROM table1 t_alias1 
    WHERE expr operator 
        (SELECT column_list 
            FROM table2 t_alias2 
            WHERE t_alias1.column 
               operator t_alias2.column); 

UPDATE table1 t_alias1 
    SET column = 
        (SELECT expr 
            FROM table2 t_alias2 
            WHERE t_alias1.column = t_alias2.column); 

DELETE FROM table1 t_alias1 
    WHERE column operator 
        (SELECT expr 
            FROM table2 t_alias2 
            WHERE t_alias1.column = t_alias2.column); 

The following statement returns data about employees whose salaries exceed their department average. The following statement assigns an alias to employees, the table containing the salary information, and then uses the alias in a correlated subquery:

SELECT department_id, last_name, salary 
   FROM employees x 
   WHERE salary > (SELECT AVG(salary) 
      FROM employees 
      WHERE x.department_id = department_id) 
   ORDER BY department_id; 

For each row of the employees table, the parent query uses the correlated subquery to compute the average salary for members of the same department. The correlated subquery performs the following steps for each row of the employees table:

  1. The department_id of the row is determined.

  2. The department_id is then used to evaluate the parent query.

  3. If the salary in that row is greater than the average salary of the departments of that row, then the row is returned.

The subquery is evaluated once for each row of the employees table.

Selecting from the DUAL Table: Example  The following statement returns the current date:

SELECT SYSDATE FROM DUAL; 

You could select SYSDATE from the employees table, but the database would return 14 rows of the same SYSDATE, one for every row of the employees table. Selecting from DUAL is more convenient.

Selecting Sequence Values: Examples  The following statement increments the employees_seq sequence and returns the new value:

SELECT employees_seq.nextval 
    FROM DUAL; 

The following statement selects the current value of employees_seq:

SELECT employees_seq.currval 
    FROM DUAL;