| Oracle® Database SQL Reference 10g Release 2 (10.2) Part Number B14200-02 |
|
|
View PDF |
Purpose
Use the ALTER DIMENSION statement to change the hierarchical relationships or dimension attributes of a dimension.
Prerequisites
The dimension must be in your schema or you must have the ALTER ANY DIMENSION system privilege to use this statement.
A dimension is always altered under the rights of the owner.
Syntax
alter_dimension::=

(level_clause::=, hierarchy_clause::=, attribute_clause::=, extended_attribute_clause::=)

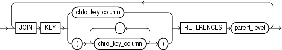
hierarchy_clause::=


extended_attribute_clause::=

Semantics
The following keywords, parameters, and clauses have meaning unique to ALTER DIMENSION. Keywords, parameters, and clauses that do not appear here have the same functionality that they have in the CREATE DIMENSION statement. Please refer to CREATE DIMENSION for more information.
schema
Specify the schema of the dimension you want to modify. If you do not specify schema, Oracle Database assumes the dimension is in your own schema.
dimension
Specify the name of the dimension. This dimension must already exist.
The ADD clauses let you add a level, hierarchy, or attribute to the dimension. Adding one of these elements does not invalidate any existing materialized view.
Oracle Database processes ADD LEVEL clauses prior to any other ADD clauses.
The DROP clauses let you drop a level, hierarchy, or attribute from the dimension. Any level, hierarchy, or attribute you specify must already exist.
Within one attribute, you can drop one or more level-to-column relationships associated with one level.
Restriction on DROP If any attributes or hierarchies reference a level, you cannot drop the level until you either drop all the referencing attributes and hierarchies or specify CASCADE.
CASCADE Specify CASCADE if you want Oracle Database to drop any attributes or hierarchies that reference the level, along with the level itself.
RESTRICT Specify RESTRICT if you want to prevent Oracle Database from dropping a level that is referenced by any attributes or hierarchies. This is the default.
Specify COMPILE to explicitly recompile an invalidated dimension. Oracle Database automatically compiles a dimension when you issue an ADD clause or DROP clause. However, if you alter an object referenced by the dimension (for example, if you drop and then re-create a table referenced in the dimension), Oracle Database invalidates, and you must recompile it explicitly.
Example
Modifying a Dimension: Examples The following examples modify the customers_dim dimension in the sample schema sh:
ALTER DIMENSION customers_dim DROP ATTRIBUTE country; ALTER DIMENSION customers_dim ADD LEVEL zone IS customers.cust_postal_code ADD ATTRIBUTE zone DETERMINES (cust_city);